Free Access

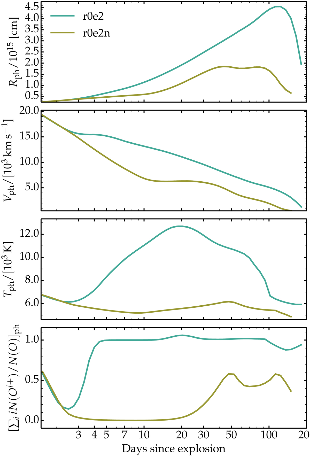
Fig. 6.

image

Evolution of photospheric properties for model r0e2 powered by a magnetar and model r0e2n without a magnetar (the sustained source of power comes from radioactive decay alone in model r0e2n). Bottom panel: ionization of oxygen at the photosphere (i.e., [∑iiN(Oi+)/N(O)]ph) where N(Oi+) is the oxygen number density when i-times ionized and N(O) is the total oxygen number density. Oxygen is chosen since it is the main constituent of the ejecta and because it is associated with the emblematic spectroscopic signatures of SLSNe Ic. Only the electron-scattering opacity is used to locate the photosphere. Compared to its unmagnetized counterpart, model r0e2 shows photospheric properties that are hotter and more ionized over the period 3 − 200 d.

Current usage metrics show cumulative count of Article Views (full-text article views including HTML views, PDF and ePub downloads, according to the available data) and Abstracts Views on Vision4Press platform.

Data correspond to usage on the plateform after 2015. The current usage metrics is available 48-96 hours after online publication and is updated daily on week days.

Initial download of the metrics may take a while.