Free Access

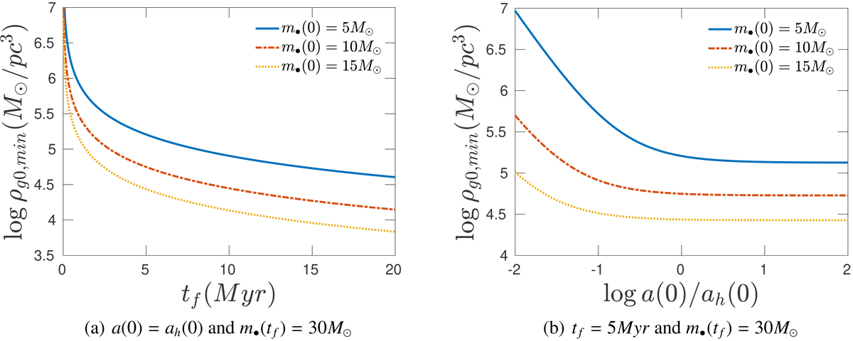
Fig. 1.

image

Minimum initial density of the gas (ρg0, min), given in Eq. (C.7), required for a BBH with equal mass BH members so that each member reaches mass 30 M by Bondi accretion inside this gas’ density environment and until time tf when the gas is completely depleted, assuming a constant mass loss rate of the gas (C.1). For an exponential gas loss law (C.2), the time t99 needed for 99% depletion is t99 = 2.3tf, for the same values of all other parameters. We also assume in both figures cs = 5 km s−1, σ = vc = 6 km s−1 where we denote, respectively, the speed of sound of the gas, the velocity dispersion of the stars and the velocity of the binary with respect to the cluster. We consider three cases, each member having initial mass m0 = 5 M (blue solid line), 10 M (red dashed-dotted line) or 15 M (yellow dashed line). Left panel: we assume an initially slightly hard binary with χ(0)=1 ⇔ a(0)=ah(0). It is evident that in order for a BH with initial mass ∼(5 − 10) M to grow up to 30 M within tf = 5 Myr, assuming by this time there is complete gas depletion, would require an initial gas’ density ∼(5 − 15)×104M pc−3. These minimum density values correspond to the exponential gas loss law with 99% depletion at time t99 = 11.5 Myr. The density values are half for tf = 10 Myr for both linear and exponential cases. We took into account the hardening of the binary during accretion. Right panel: we calculate ρg0, min w.r.t. the initial hardness expressed by the quantity logχ−1(0) for tf = 5 Myr in the linear case of gas loss. This time corresponds to t99 = 11.5 Myr in the case of exponential gas loss. It is evident that soft binaries accrete gas more effectively than very hard ones. A hard binary a(0)/ah(0)=0.1 with BH members each of mass (5 − 10) M requires ρg0, min = (8 − 50)×104M pc−3 while a soft one a(0)/ah(0)=10 requires only (5 − 13)×104M pc−3. By the time the gas is depleted a soft binary gets hard in case of isotropic accretion as demonstrated below, in Fig. 2.

Current usage metrics show cumulative count of Article Views (full-text article views including HTML views, PDF and ePub downloads, according to the available data) and Abstracts Views on Vision4Press platform.

Data correspond to usage on the plateform after 2015. The current usage metrics is available 48-96 hours after online publication and is updated daily on week days.

Initial download of the metrics may take a while.