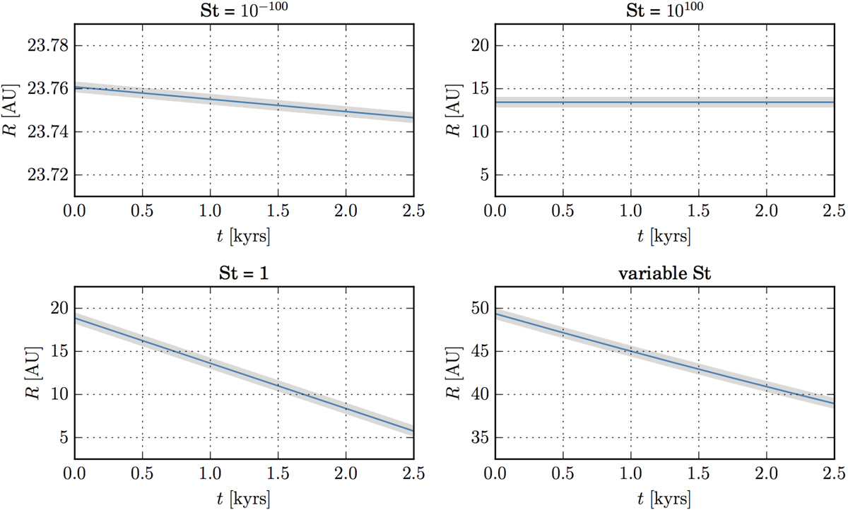
Fig. D.1

Test cases of the particle simulation. Comparison of the radial evolution for test particles in four different scenarios. The results obtained with our dust code are shown in blue, while those obtained through the direct integration of Eq. (D.1) are in grey. From top to bottom and from left to right panels: St = 10−100, St = 10100, St = 1, and variableStokes numbers. The gas disc does not evolve in any of these test cases.
Current usage metrics show cumulative count of Article Views (full-text article views including HTML views, PDF and ePub downloads, according to the available data) and Abstracts Views on Vision4Press platform.
Data correspond to usage on the plateform after 2015. The current usage metrics is available 48-96 hours after online publication and is updated daily on week days.
Initial download of the metrics may take a while.