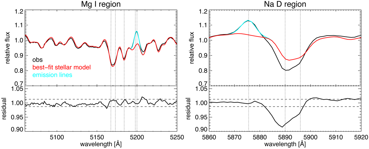
Fig. 3.

Example of our continuum fit and subtraction performed for the stacked spectrum with log(SFR/ M⊙ yr−1) = 1.4 and log(M⋆/M⊙) = 10.9 in the Mg I and Na I D regions (left and right panel, respectively). The observed stacked spectrum is shown with a solid black line, the best-fit stellar continuum model in red and stellar emission lines in cyan. The dotted lines indicate the stellar Mg I triplet at λλ5167, 5173, 5184 Å and the [NI]λ5198, 5200 Å emission lines (left panel), and the He I λ5876 emission and the Na I doublet λλ5890, 5896 (right panel). The bottom panels show the residual spectra (solid black line) and the residual variations (dashed lines). The Mg I region is reproduced well by the stellar fit with residuals lower than the mean scatter. The Na I D fit is instead affected by significant residuals, revealing a blue-shifted extra absorption component.
Current usage metrics show cumulative count of Article Views (full-text article views including HTML views, PDF and ePub downloads, according to the available data) and Abstracts Views on Vision4Press platform.
Data correspond to usage on the plateform after 2015. The current usage metrics is available 48-96 hours after online publication and is updated daily on week days.
Initial download of the metrics may take a while.