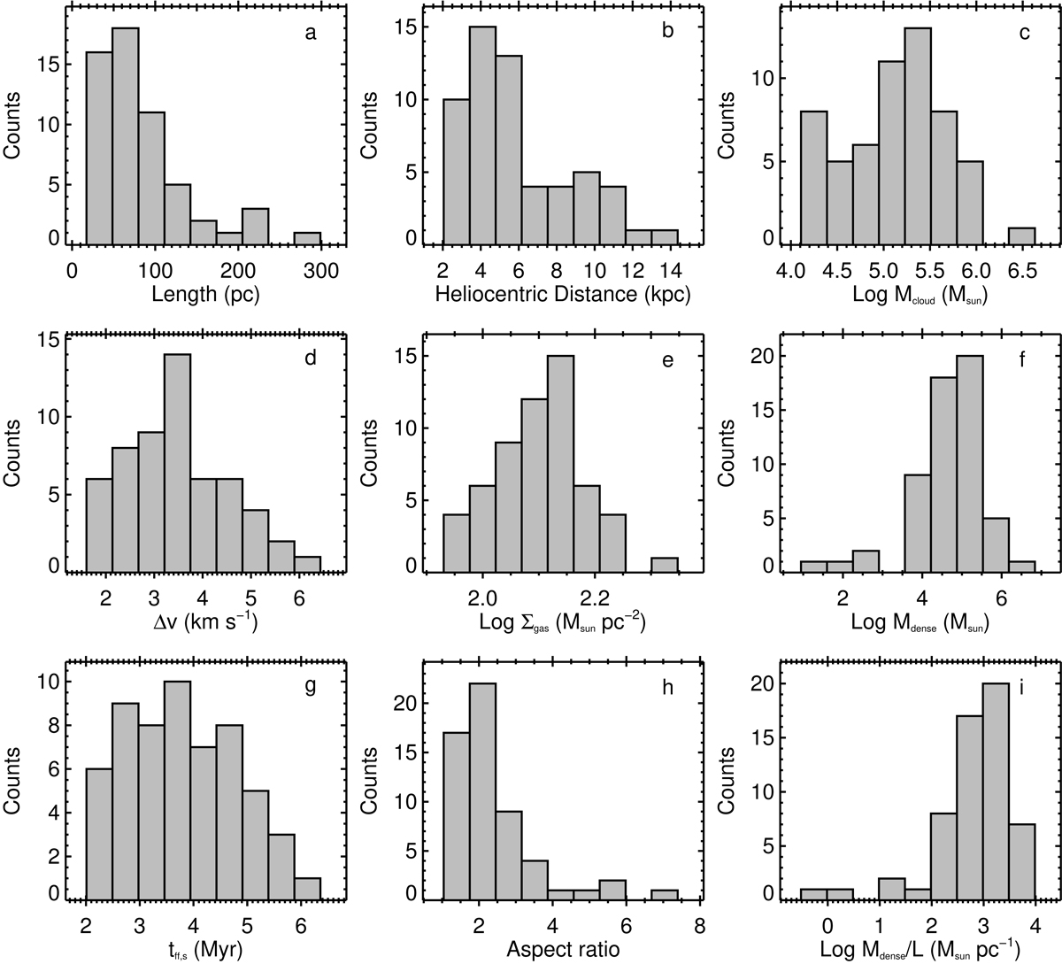
Fig. 17.

Distributions of filament length (panel a); heliocentric distance (panel b); logarithm of cloud mass Mcloud (panel c); line width Δv (panel d); logarithm of gas surface density Σgas (panel e); logarithm of dense gas mass Mdense (panel f); free-fall time obtained based on spherical morphology (panel g); aspect ratio (panel h); and logarithm of dense gas mass per unit length (panel i).
Current usage metrics show cumulative count of Article Views (full-text article views including HTML views, PDF and ePub downloads, according to the available data) and Abstracts Views on Vision4Press platform.
Data correspond to usage on the plateform after 2015. The current usage metrics is available 48-96 hours after online publication and is updated daily on week days.
Initial download of the metrics may take a while.