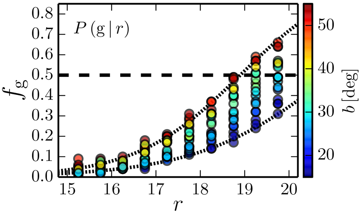
Fig. 7.

Fraction of galaxies, fg, as a function of the r-band magnitude. The circles are the measurements in each J-PLUS EDR pointing, coloured with the galactic latitude b of the pointing. The dashed line marks fg = 0.5. As an illustration, the dotted lines show the best prior fitting curves, P (g | r), to the pointings with lower and higher galactic latitude.
Current usage metrics show cumulative count of Article Views (full-text article views including HTML views, PDF and ePub downloads, according to the available data) and Abstracts Views on Vision4Press platform.
Data correspond to usage on the plateform after 2015. The current usage metrics is available 48-96 hours after online publication and is updated daily on week days.
Initial download of the metrics may take a while.