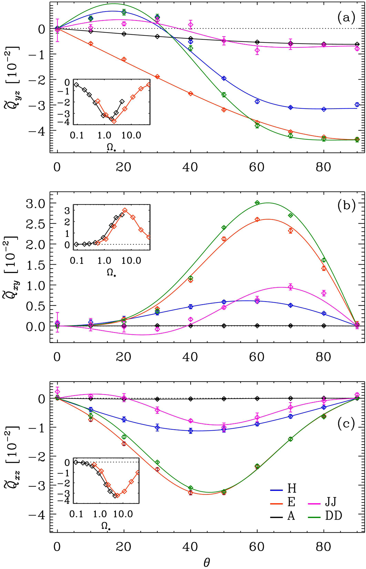
Fig. 4.

Off-diagonal stresses from a representative set of runs. Diamonds: normalized Reynolds stress components (panel a),
(panel b), and
(panel c) as functions of θ from Sets A (black), E (red), H (blue), AA (green), and GG (magenta). Curves: fits with the Λ coefficients presented in Sect. 4.3.2. The insets show the corresponding stresses from the respective latitudinal maxima θ = 90° (panel a), θ = 60° (panel b), and θ = 50° (panel c) as functions of Ω⋆, where data from Sets A–H (black) and AA–GG (red) are indicated.
Current usage metrics show cumulative count of Article Views (full-text article views including HTML views, PDF and ePub downloads, according to the available data) and Abstracts Views on Vision4Press platform.
Data correspond to usage on the plateform after 2015. The current usage metrics is available 48-96 hours after online publication and is updated daily on week days.
Initial download of the metrics may take a while.