Free Access
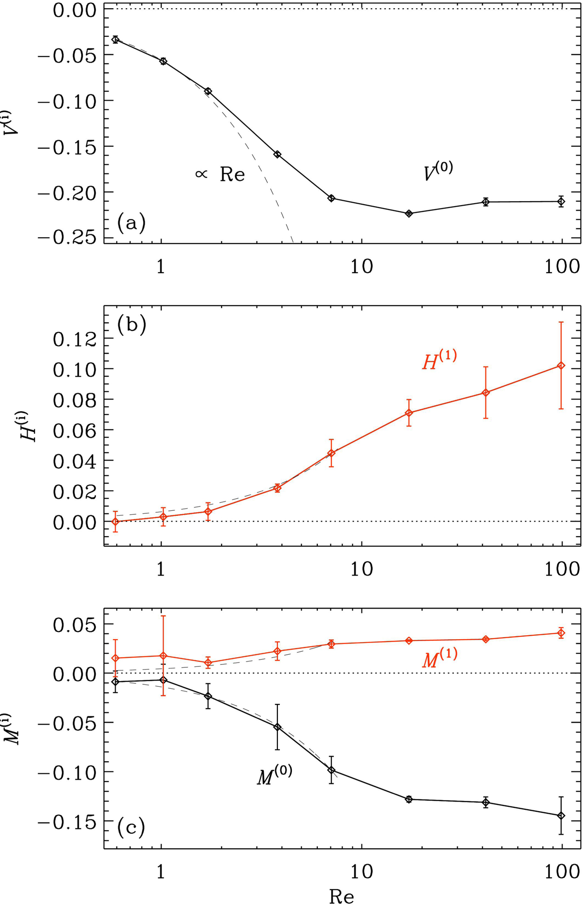
Fig. 6.

Coefficients pertaining to the Λ effect as functions of Re: V(0) (panel a), H(1) (panel b), and M(0, 1) (panel c) for Sets RE1–RE8 with Ω⋆ = 1.0 and AV ≈ −0.3. The dashed lines are proportional to Re.
Current usage metrics show cumulative count of Article Views (full-text article views including HTML views, PDF and ePub downloads, according to the available data) and Abstracts Views on Vision4Press platform.
Data correspond to usage on the plateform after 2015. The current usage metrics is available 48-96 hours after online publication and is updated daily on week days.
Initial download of the metrics may take a while.