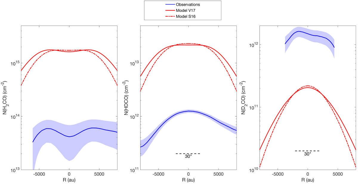
Fig. 9.

Comparison of the observed column densities (blue line) with the modeled column densities by V17 (red line) and S16 (red dashed line) of H2CO (left panel), HDCO (middle panel), and D2CO (right panel). The observed column density profiles are taken along the white dashed line shown in Fig. 2, being R = 0 au the dust peak, R > 0 au the direction from dust peak to methanol peak, and R < 0 au the direction from the dust peak toward the southwest. The shaded blue regions indicate the error bars of the column densities. The resolution is 30′′, shown at the bottom of the figure.
Current usage metrics show cumulative count of Article Views (full-text article views including HTML views, PDF and ePub downloads, according to the available data) and Abstracts Views on Vision4Press platform.
Data correspond to usage on the plateform after 2015. The current usage metrics is available 48-96 hours after online publication and is updated daily on week days.
Initial download of the metrics may take a while.