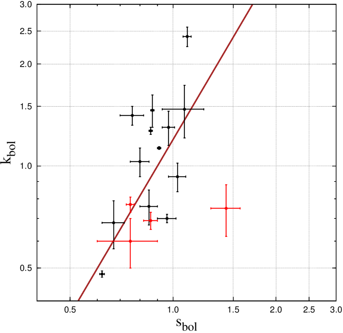
Fig. 10.

Bolometric luminosity kbol vs. bolometric stretch factor sbol for the 17 GRB SNe listed in Table 2. Red-colored data points refer to the four GRB SNe discussed here, black-colored data points to the remaining 13 events. We note that SN 1998bw is not included here (by definition, ). The best fit is shown for an ansatz
, a = 1.7 (excluding in the fit GRBs 111209A, 111228A and SN 1998bw).
Current usage metrics show cumulative count of Article Views (full-text article views including HTML views, PDF and ePub downloads, according to the available data) and Abstracts Views on Vision4Press platform.
Data correspond to usage on the plateform after 2015. The current usage metrics is available 48-96 hours after online publication and is updated daily on week days.
Initial download of the metrics may take a while.