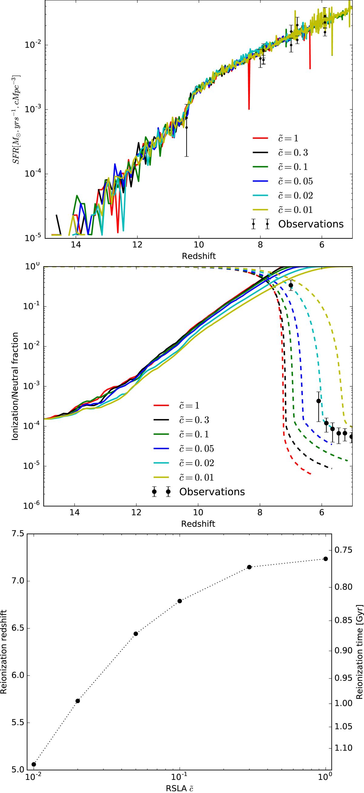
Fig. 1.

Top panel: cosmic star formation histories with observational constraints from Bouwens et al. (2015). Middle panel: volume weighted ionization fraction (solid lines) and neutral fraction (dashed lines) with observational constraints from Fan et al. (2006) as a function of redshift for different reduced speeds of light. Bottom panel: xHII = 0.01% reionization redshifts measured for different reduced speeds of light.
Current usage metrics show cumulative count of Article Views (full-text article views including HTML views, PDF and ePub downloads, according to the available data) and Abstracts Views on Vision4Press platform.
Data correspond to usage on the plateform after 2015. The current usage metrics is available 48-96 hours after online publication and is updated daily on week days.
Initial download of the metrics may take a while.