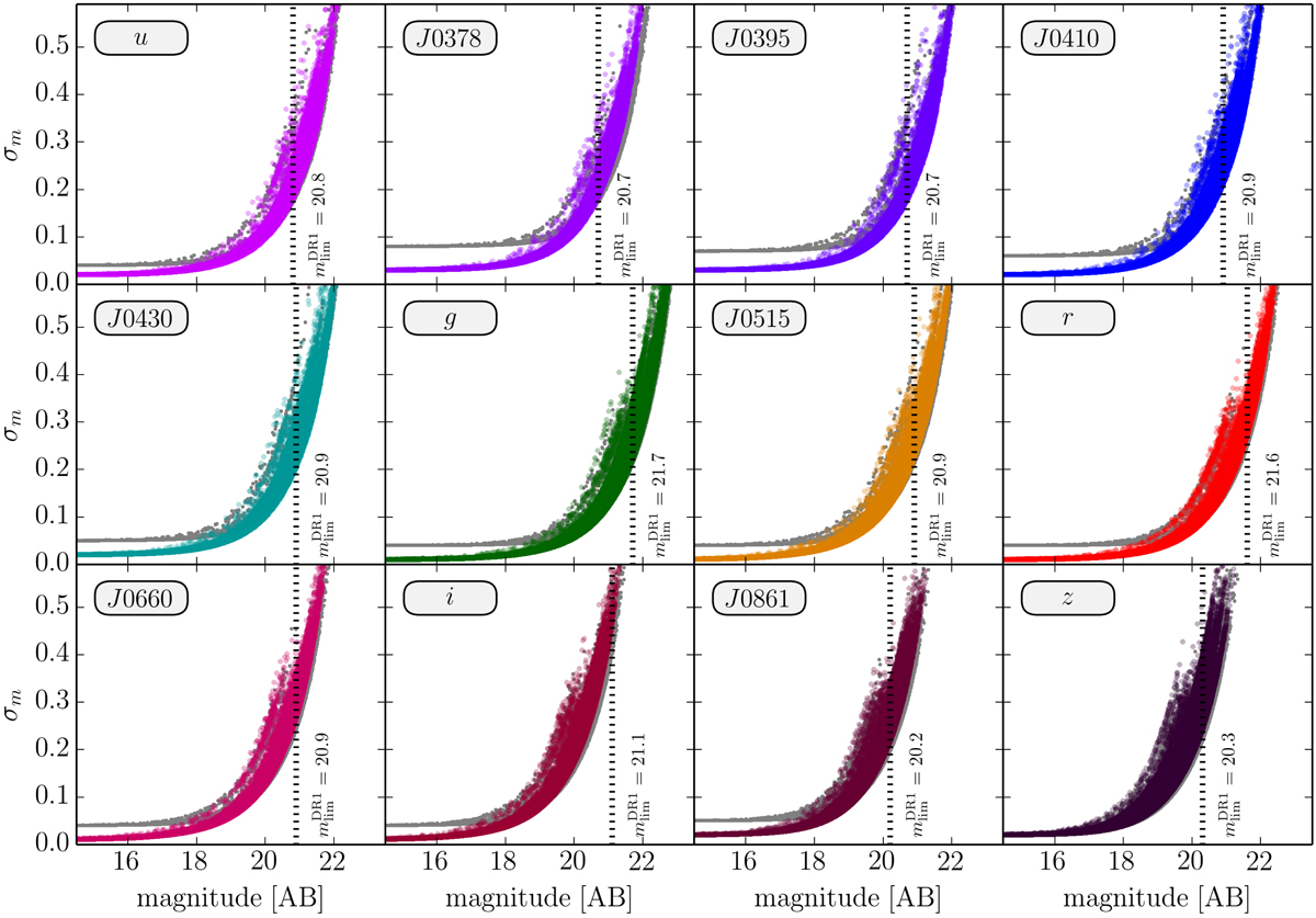
Fig. 5.

Typical photometric uncertainties in the 12 J-PLUS bands as a function of magnitude for a random set of 10 J-PLUS tiles in common with the EDR (gray dots) and the DR1 (colored dots). The black dashed line indicates the DR1 limiting magnitude in each band. At fixed magnitude, the width of the error distribution accounts for different observing conditions in terms of final PSF, sky transparency, and so on.
Current usage metrics show cumulative count of Article Views (full-text article views including HTML views, PDF and ePub downloads, according to the available data) and Abstracts Views on Vision4Press platform.
Data correspond to usage on the plateform after 2015. The current usage metrics is available 48-96 hours after online publication and is updated daily on week days.
Initial download of the metrics may take a while.