Fig. C.1

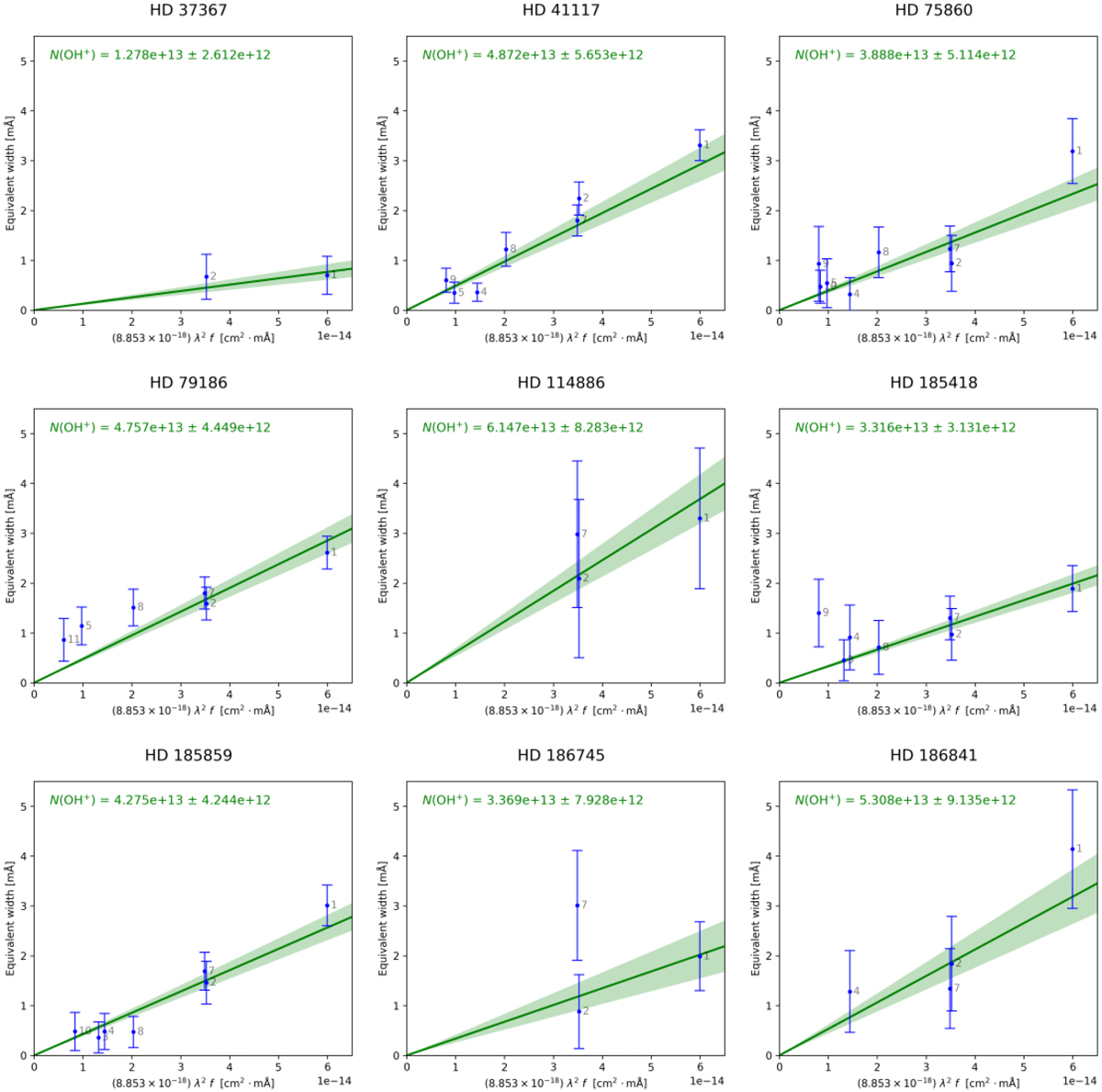
Weighted linear fits for deriving N(OH+) for all targets except HD 80558 (Fig. 4). A couple of outliers can be noticed for some of the sightlines as in the cases for HD 185418 and HD 186745 which could well be caused by poor S/N (see Fig. 3) and/or possible contamination with some weak absorption features. This behavior is also seen in the measurements for the weaker OH+ lines in HD 79186. Setting the intercept to zero helps constrain the effect of these biases.
Current usage metrics show cumulative count of Article Views (full-text article views including HTML views, PDF and ePub downloads, according to the available data) and Abstracts Views on Vision4Press platform.
Data correspond to usage on the plateform after 2015. The current usage metrics is available 48-96 hours after online publication and is updated daily on week days.
Initial download of the metrics may take a while.