Free Access
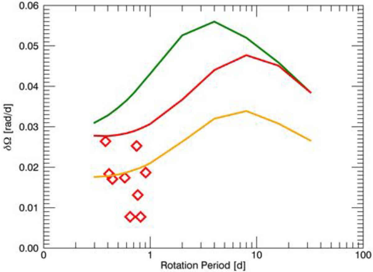
Fig. 5.

Comparison of the shear values δΩ from Vida et al. (2014) for fast-rotating M stars with our calculated values. The calculated values are shown as lines for stars of M = 0.66 M⊙ (green, top line), M = 0.60 M⊙ (red, middle line), and M = 0.40 M⊙ (yellow, bottom line).
Current usage metrics show cumulative count of Article Views (full-text article views including HTML views, PDF and ePub downloads, according to the available data) and Abstracts Views on Vision4Press platform.
Data correspond to usage on the plateform after 2015. The current usage metrics is available 48-96 hours after online publication and is updated daily on week days.
Initial download of the metrics may take a while.