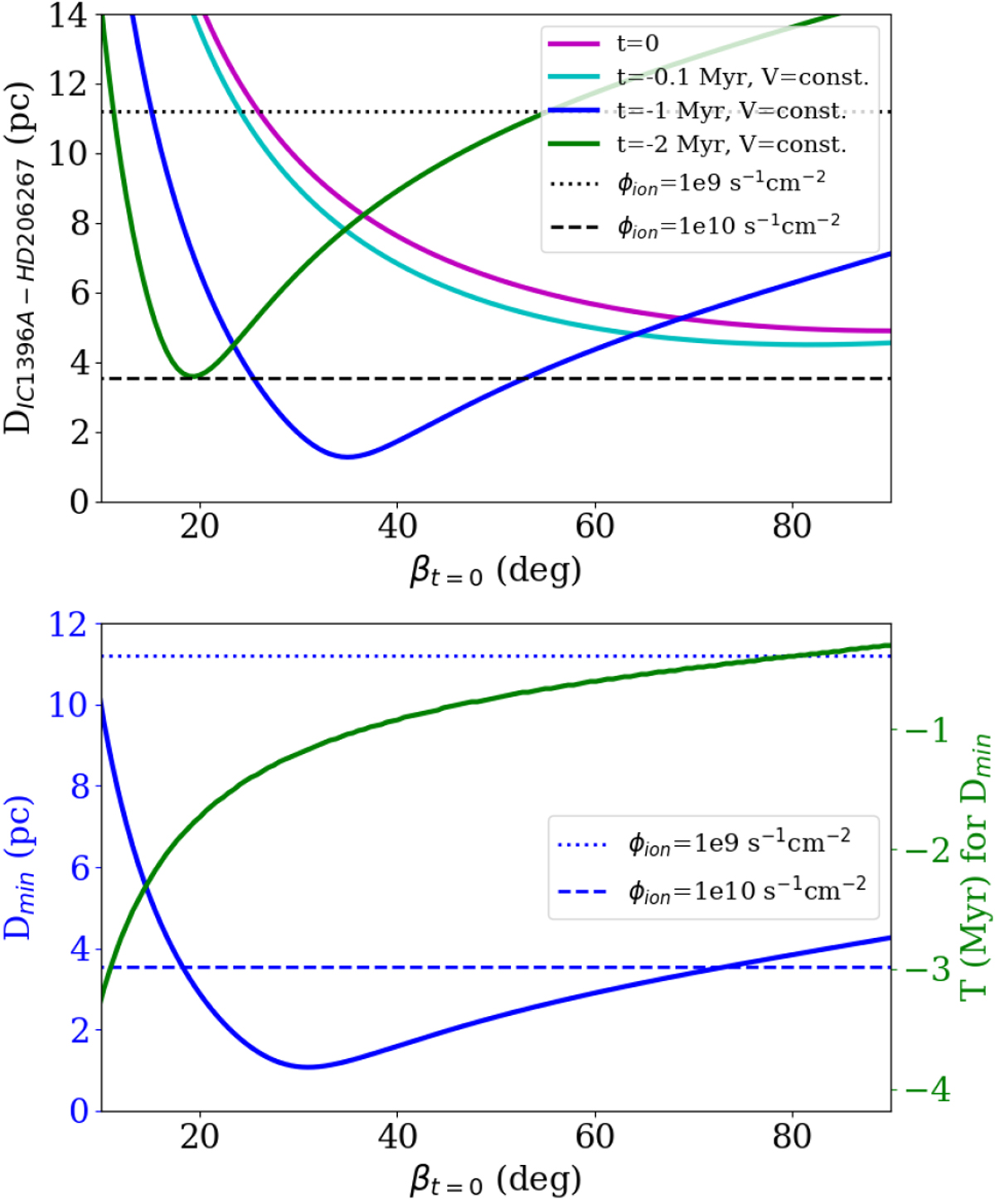
Fig. 14

Top panel: distance between IC 1396A and HD 206267 as a function of the current angle with respect to the line of sight (βt=0). Bottom panel: minimum distance between IC 1396A and HD 206267 (blue) and time at which the minimum distance was reached (green) as a function of the current angle with respect to the line of sight (βt=0). The time isgiven in Myr, with the current time set at 0 Myr, which makes all quantities negative. The velocity is considered constant and equal to the velocity observed in the plane of the sky and radial directions, which is a good approximation for the past 2–1.5 Myr (see text). The distances at which the ionizing photon flux is equal to 1e9 and 1e10 cm−2 s−1 are shown as horizontal dotted and dashed lines, respectively.
Current usage metrics show cumulative count of Article Views (full-text article views including HTML views, PDF and ePub downloads, according to the available data) and Abstracts Views on Vision4Press platform.
Data correspond to usage on the plateform after 2015. The current usage metrics is available 48-96 hours after online publication and is updated daily on week days.
Initial download of the metrics may take a while.