Free Access
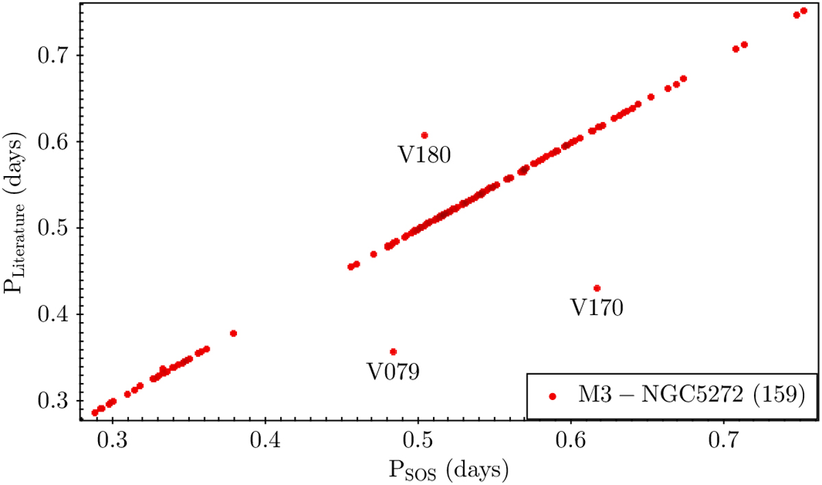
Fig. 20

Comparison between periods measured by the SOS Cep&RRL pipeline and literature values for 159 RR Lyrae stars observed in M3 by Gaia. The three deviating objects are variable stars affected by the Blazhko effect (Blazhko 1907).
Current usage metrics show cumulative count of Article Views (full-text article views including HTML views, PDF and ePub downloads, according to the available data) and Abstracts Views on Vision4Press platform.
Data correspond to usage on the plateform after 2015. The current usage metrics is available 48-96 hours after online publication and is updated daily on week days.
Initial download of the metrics may take a while.