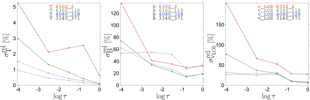
Fig. 5.

Relative inversion errors as function of the optical depth for the many-line approaches at 3140 Å (black lines), at 4080 Å (blue lines), and at 6302 Å (green lines) as well as for the double-line approach at 6302 Å (red lines). The errors of the three quantities temperature, magnetic field strength and LOS velocity are shown in the left, middle, and right panel, respectively.
Current usage metrics show cumulative count of Article Views (full-text article views including HTML views, PDF and ePub downloads, according to the available data) and Abstracts Views on Vision4Press platform.
Data correspond to usage on the plateform after 2015. The current usage metrics is available 48-96 hours after online publication and is updated daily on week days.
Initial download of the metrics may take a while.