Free Access
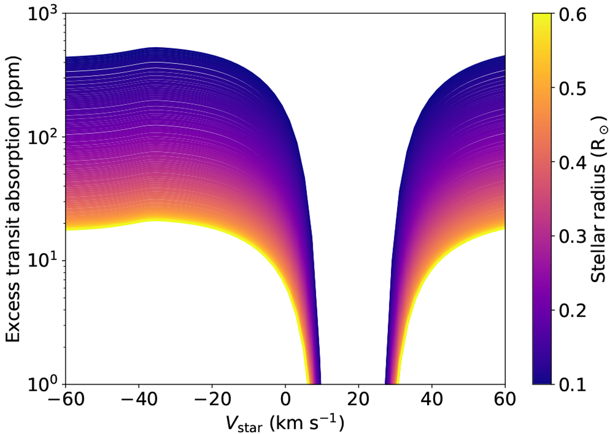
Fig. 6

Mean excess transit absorption in Lyα caused by an Earth-like exosphere as a function of systemic radial velocity as observed with HST/STIS. For spectrographs with higher resolution, the range at which the signal is lost is narrower than the range of STIS (R = 10 000).
Current usage metrics show cumulative count of Article Views (full-text article views including HTML views, PDF and ePub downloads, according to the available data) and Abstracts Views on Vision4Press platform.
Data correspond to usage on the plateform after 2015. The current usage metrics is available 48-96 hours after online publication and is updated daily on week days.
Initial download of the metrics may take a while.