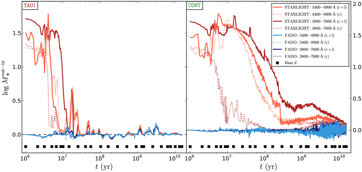
Fig. 4.

Difference in the total stellar mass M⋆ inferred from fits with STARLIGHT/FADO (out) and the actual value of the synthetic SEDs from REBETIKO (in) as a function of the CSP age t. Results for the case of an instantaneous burst (TAU1) and continuous SFH (CONT) are shown in the left and right panel, respectively. Red and blue lines represent results with STARLIGHT and FADO, respectively. Light and dark red/blue lines illustrate results from fits in the spectral ranges 3400–8900 Å () and 3800–7600 Å (
), respectively. Dotted lines with the same colour coding illustrate results from spectra with stellar and only nebular continuum. Black squares represent the ages covered by the SSP library Base
.
Current usage metrics show cumulative count of Article Views (full-text article views including HTML views, PDF and ePub downloads, according to the available data) and Abstracts Views on Vision4Press platform.
Data correspond to usage on the plateform after 2015. The current usage metrics is available 48-96 hours after online publication and is updated daily on week days.
Initial download of the metrics may take a while.