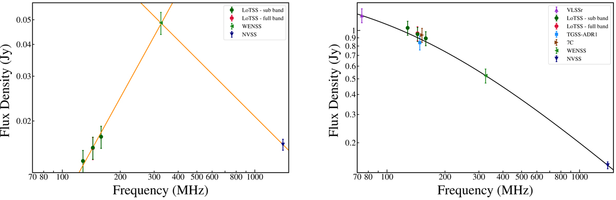
Fig. 16.

Example spectra showing the inband spectra of LoTSS. Left panel: a low-luminosity peaked-spectrum source; right panel: a source that deviates significantly from a power-law profile. The legend in each plot communicates the survey data used. The best-fitting generic curved model fit (black) or power-law fit (orange) is shown for each SED, derived from the model-fitting code described by Callingham et al. (2015).
Current usage metrics show cumulative count of Article Views (full-text article views including HTML views, PDF and ePub downloads, according to the available data) and Abstracts Views on Vision4Press platform.
Data correspond to usage on the plateform after 2015. The current usage metrics is available 48-96 hours after online publication and is updated daily on week days.
Initial download of the metrics may take a while.