Free Access
Fig. 16.

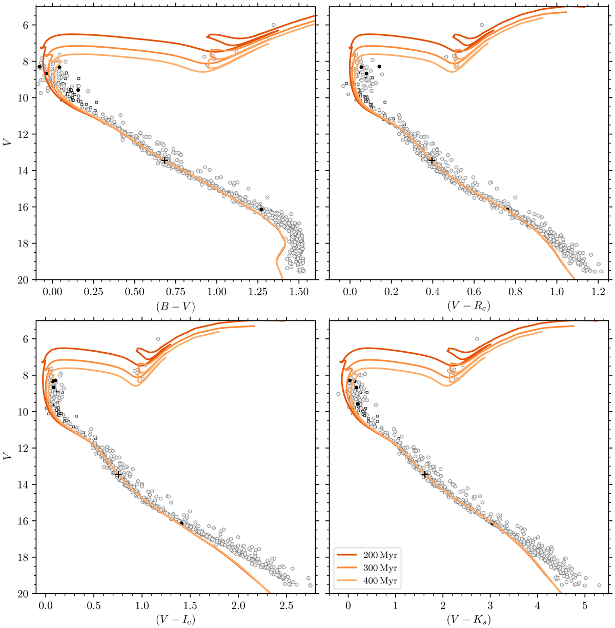
Same as Fig 14 but a single model of different age. The BaSTI isochrones for 200, 300, and 400 Myr (dark to light orange) are shown and shifted by the distance modulus determined with Gaia DR2 ((m − M)0 = 8.42 mag). The solar-mass model for 300 Myr is marked with a black plus sign.
Current usage metrics show cumulative count of Article Views (full-text article views including HTML views, PDF and ePub downloads, according to the available data) and Abstracts Views on Vision4Press platform.
Data correspond to usage on the plateform after 2015. The current usage metrics is available 48-96 hours after online publication and is updated daily on week days.
Initial download of the metrics may take a while.