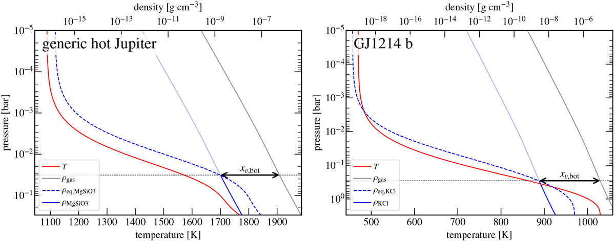
Fig. 1

Left panel: physical structure of a generic hot-Jupiter atmosphere. The temperature T(P) and gas density profile ρgas(P) are obtained from the Guillot (2010) atmosphere model. The equilibrium density ρeq of MgSiO3 is obtained from Eq. (18). Below the cloud deck (horizontal dashed line), ρv = ρ(MgSiO3) < ρeq; the species are present at constant abundance, such that xv = ρv∕ρgas ≡ xv,bot is constant. Above the cloud base (ρv > ρeq; light blue) cloud formation (not included in this figure) will reduce the vapor density at the expense of condensates. Right panel: same for KCl in the GJ1214 b atmosphere.
Current usage metrics show cumulative count of Article Views (full-text article views including HTML views, PDF and ePub downloads, according to the available data) and Abstracts Views on Vision4Press platform.
Data correspond to usage on the plateform after 2015. The current usage metrics is available 48-96 hours after online publication and is updated daily on week days.
Initial download of the metrics may take a while.