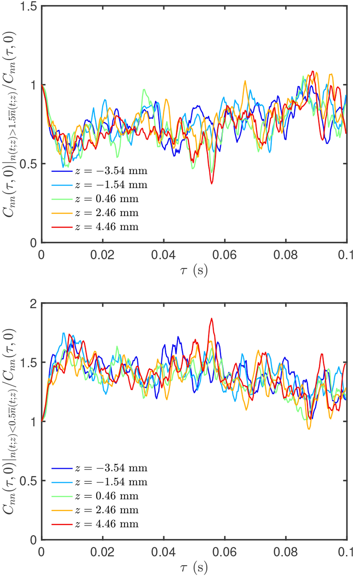
Fig. 10.

Conditional autocorrelation function of particle number density, normalised by the unconditional correlation, for the Kn ~ 1 case. Top panel: conditional on the dense case; bottom panel: conditional on the dilute case. Heterogeneity in the particle density is evident from the ratios deviating from unity. The timescale for the ratio to return to unity corresponds to a characteristic lengthscale of the clustering.
Current usage metrics show cumulative count of Article Views (full-text article views including HTML views, PDF and ePub downloads, according to the available data) and Abstracts Views on Vision4Press platform.
Data correspond to usage on the plateform after 2015. The current usage metrics is available 48-96 hours after online publication and is updated daily on week days.
Initial download of the metrics may take a while.