Free Access
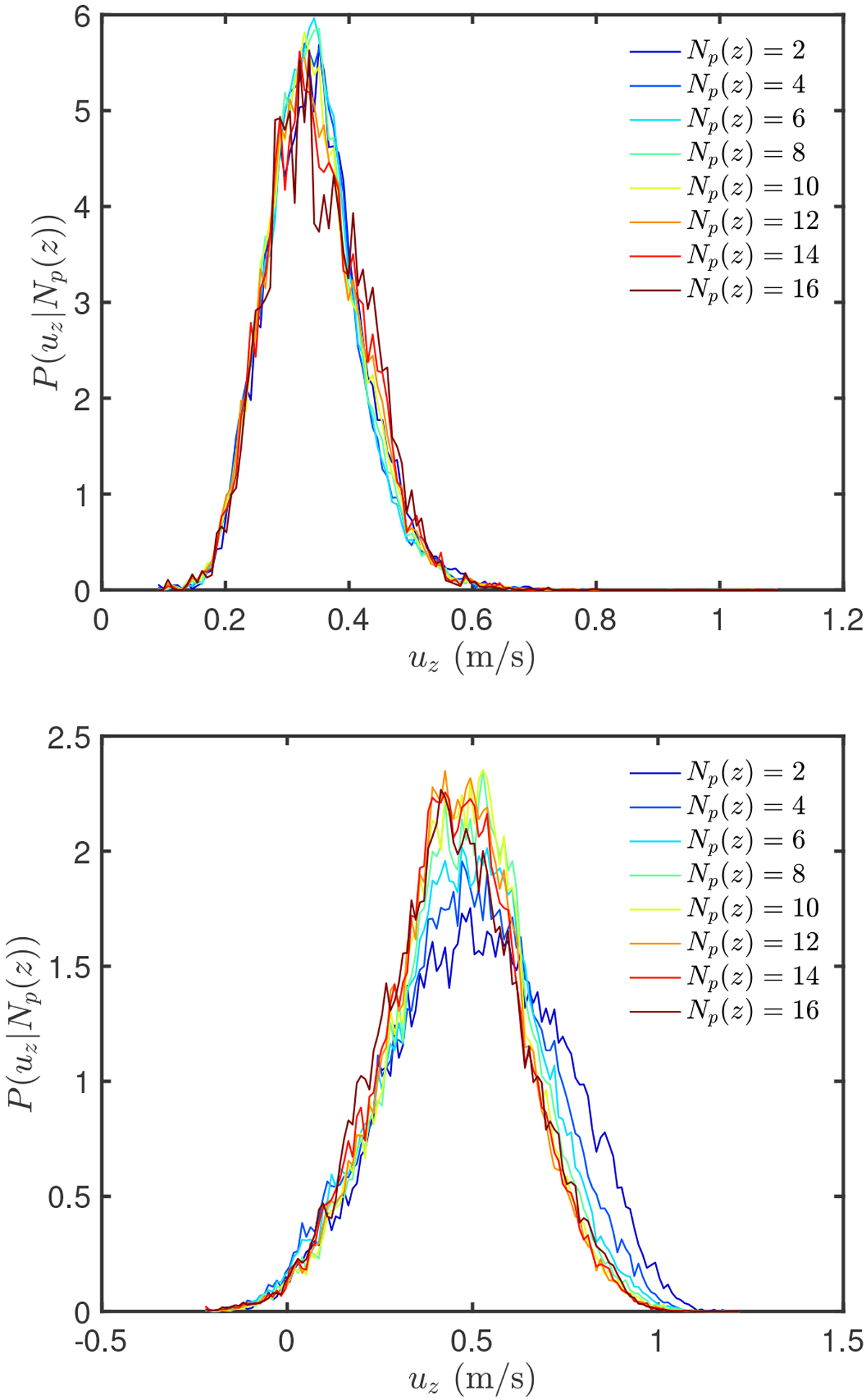
Fig. 13.

PDFs of z-direction velocity, conditional upon the number of particles in a 1-mm slab, for kn1_3mb [DS2] (top panel) and kng1_8mb [DS3] (bottom panel). Curves shift towards lower velocities with increasing number density in the lower panel.
Current usage metrics show cumulative count of Article Views (full-text article views including HTML views, PDF and ePub downloads, according to the available data) and Abstracts Views on Vision4Press platform.
Data correspond to usage on the plateform after 2015. The current usage metrics is available 48-96 hours after online publication and is updated daily on week days.
Initial download of the metrics may take a while.