Free Access
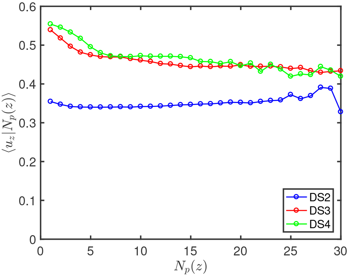
Fig. 14.

Mean settling velocity in m s−1 for kn1_3mb [DS2] in blue, kng1_8mb[DS3] in red, and kng1_5mb[DS4] in green, conditional upon the number of particles in a 1 mm cylindrical slab. Drag dissipation is reduced for high density regions in the Kn < 1 data, yet notin the Kn ~ 1 data.
Current usage metrics show cumulative count of Article Views (full-text article views including HTML views, PDF and ePub downloads, according to the available data) and Abstracts Views on Vision4Press platform.
Data correspond to usage on the plateform after 2015. The current usage metrics is available 48-96 hours after online publication and is updated daily on week days.
Initial download of the metrics may take a while.