Free Access
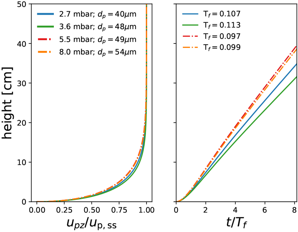
Fig. 6.

Left panel: height as a function of the ratio of particle velocity to the steady-state velocity upz ∕up,ss. Right panel: height as a function of time in units of the viscous relaxation timescale Tf. Particlesreach a steady state well before reaching the measurement window at ~ 50 cm.
Current usage metrics show cumulative count of Article Views (full-text article views including HTML views, PDF and ePub downloads, according to the available data) and Abstracts Views on Vision4Press platform.
Data correspond to usage on the plateform after 2015. The current usage metrics is available 48-96 hours after online publication and is updated daily on week days.
Initial download of the metrics may take a while.