Free Access
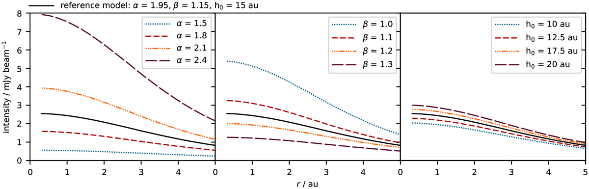
Fig. 5

Radial brightness profiles from reconstructed images of synthetic ALMA observations with configuration C43-8 at 310 GHz for discs with different radial density slopes (α, left panel), disc flarings (β, middle panel), and scale heights (h0, right panel).
Current usage metrics show cumulative count of Article Views (full-text article views including HTML views, PDF and ePub downloads, according to the available data) and Abstracts Views on Vision4Press platform.
Data correspond to usage on the plateform after 2015. The current usage metrics is available 48-96 hours after online publication and is updated daily on week days.
Initial download of the metrics may take a while.