Free Access
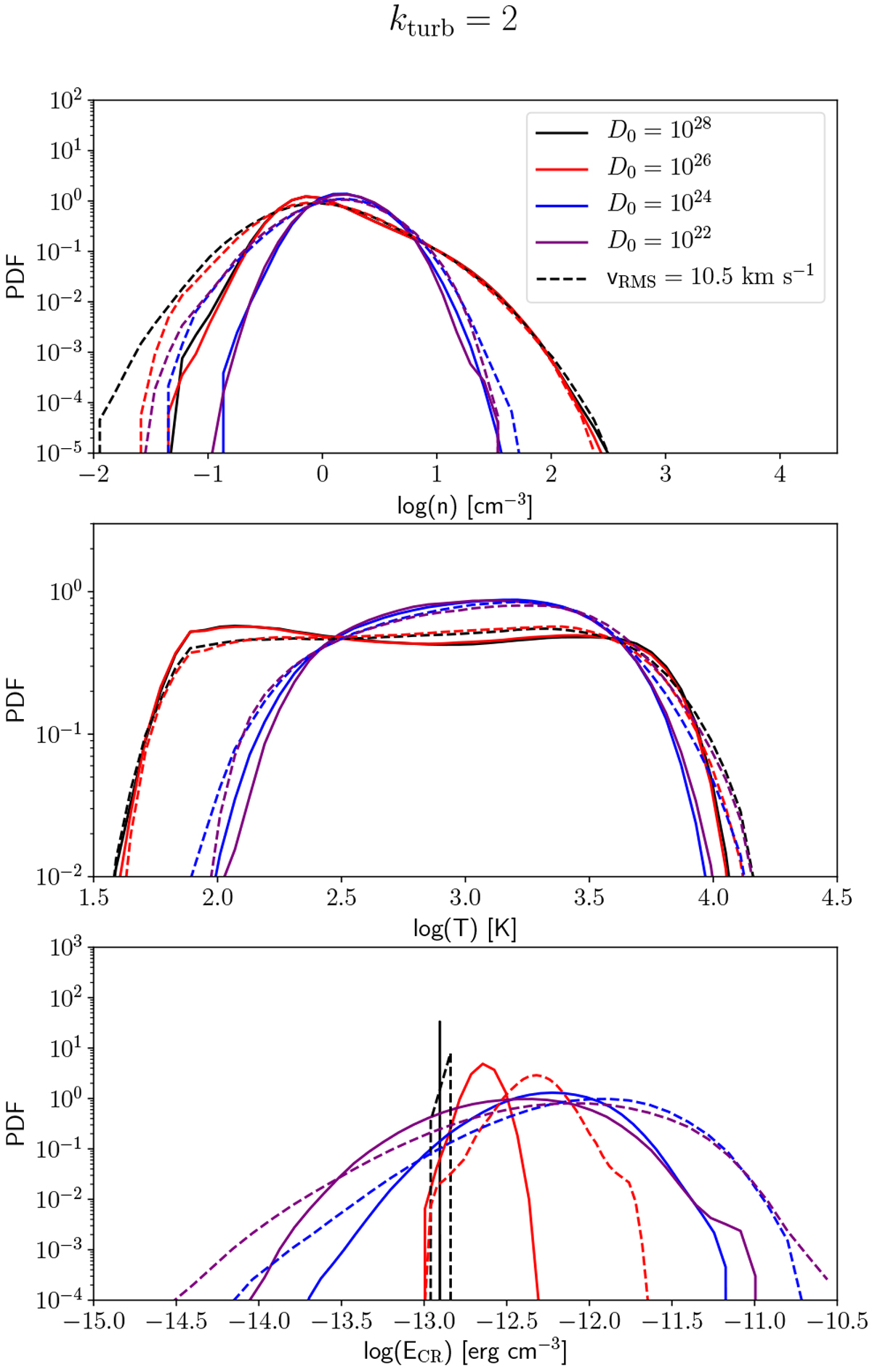
Fig. 10.

Same as Fig. 5 for kturb = 2, but different amplitude in the turbulence driving. The solid lines represent the fiducial case results with vrms = 5.7 km s−1 and the dashed lines the ones obtained with vrms = 10.5 km s−1.
Current usage metrics show cumulative count of Article Views (full-text article views including HTML views, PDF and ePub downloads, according to the available data) and Abstracts Views on Vision4Press platform.
Data correspond to usage on the plateform after 2015. The current usage metrics is available 48-96 hours after online publication and is updated daily on week days.
Initial download of the metrics may take a while.