Free Access
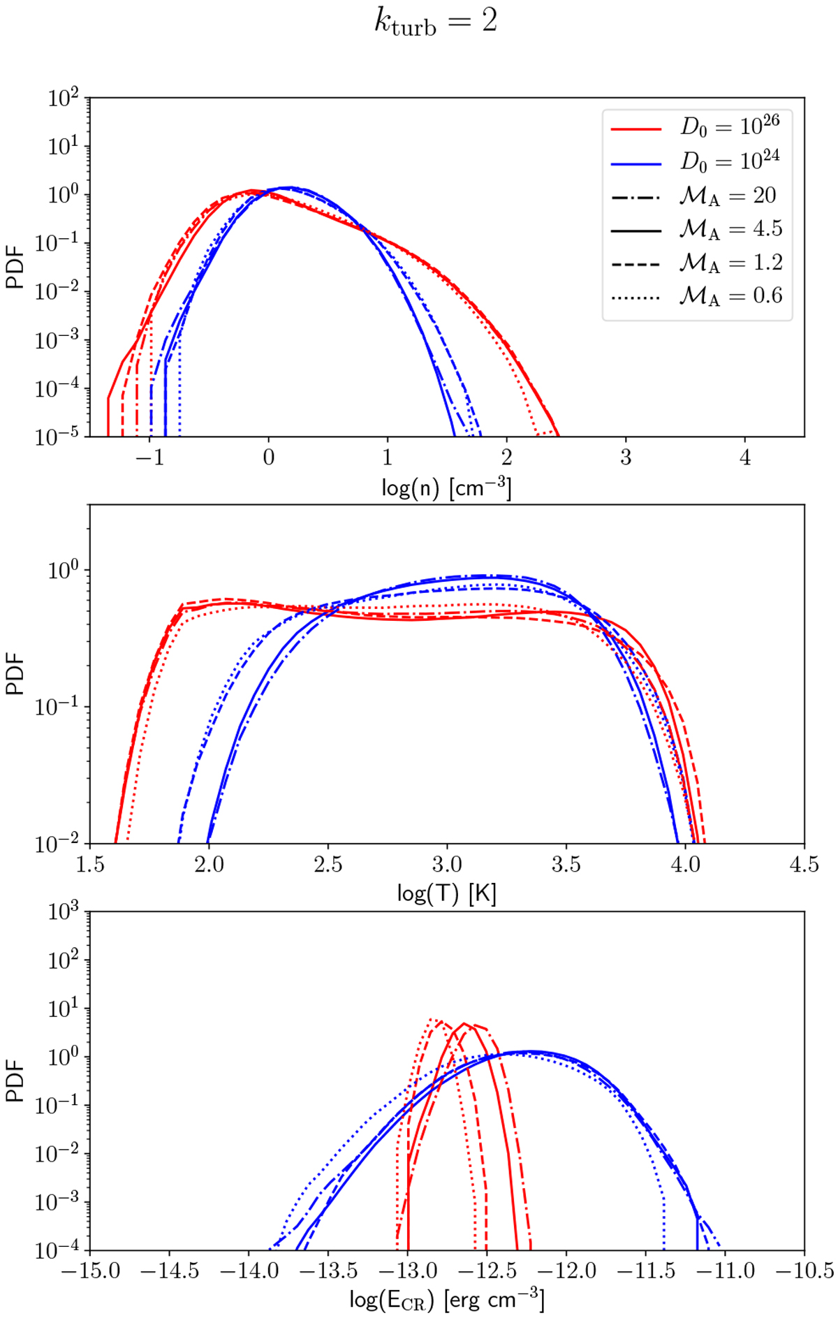
Fig. 11.

Same as Fig. 5 for kturb = 2, but different amplitudes of the initial magnetic field strength. The solid lines represent the fiducial case with
, the dashed lines
, the dotted lines
, and the dashed-dotted lines
. The blue colour represents results with D0 = 1024 cm2 s−1, the red D0 = 1026 cm2 s−1.
Current usage metrics show cumulative count of Article Views (full-text article views including HTML views, PDF and ePub downloads, according to the available data) and Abstracts Views on Vision4Press platform.
Data correspond to usage on the plateform after 2015. The current usage metrics is available 48-96 hours after online publication and is updated daily on week days.
Initial download of the metrics may take a while.