Free Access
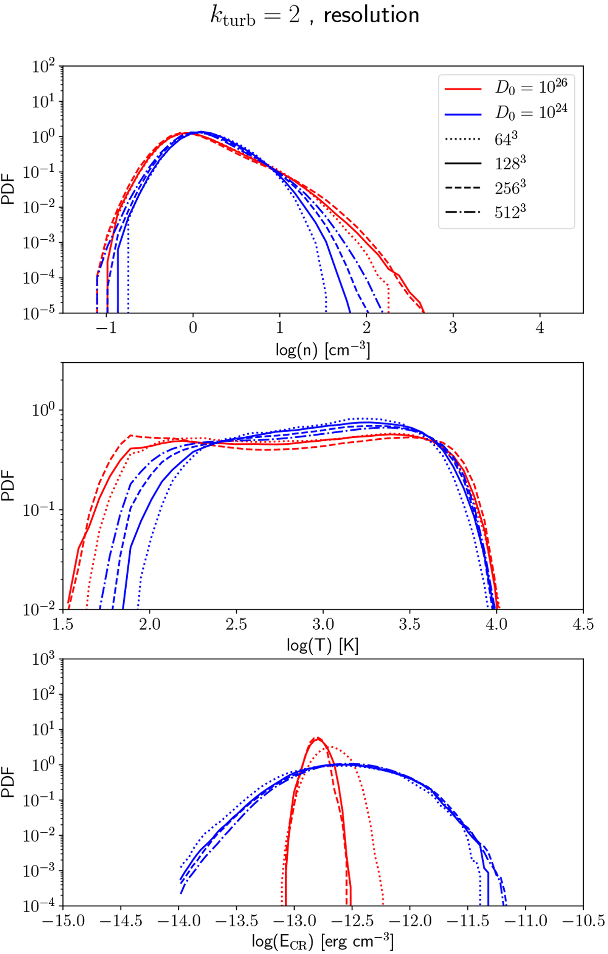
Fig. A.2.

Same as Fig. 5 for different numerical resolutions in the fiducial case (kturb = 2) with D0 = 1024 cm2 s−1 (blue) and D0 = 1026 cm2 s−1 (red), but at times greater than 1tcross.
Current usage metrics show cumulative count of Article Views (full-text article views including HTML views, PDF and ePub downloads, according to the available data) and Abstracts Views on Vision4Press platform.
Data correspond to usage on the plateform after 2015. The current usage metrics is available 48-96 hours after online publication and is updated daily on week days.
Initial download of the metrics may take a while.