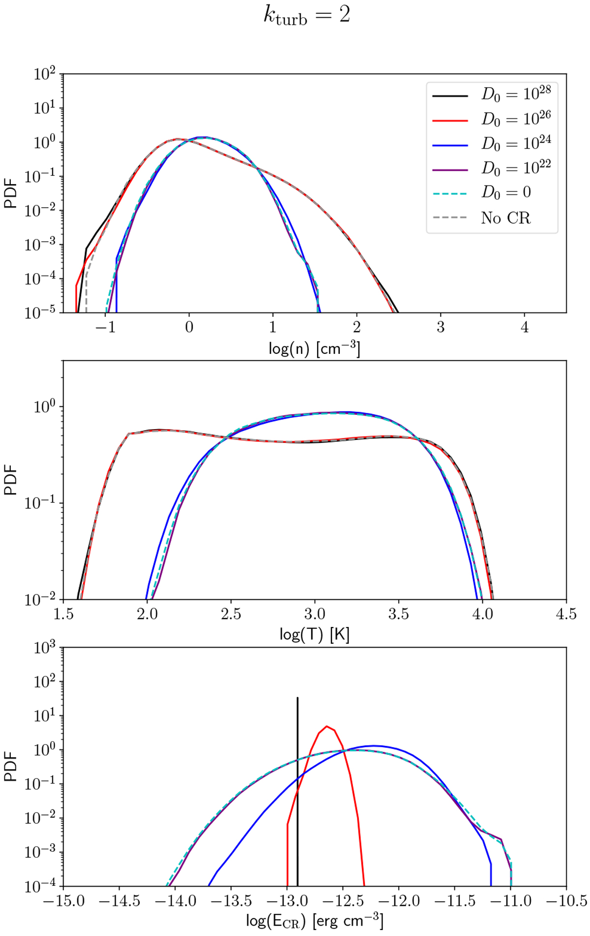
Fig. 5.

PDF of the gas density (top panel), temperature (middle panel), and CR energy density (bottom panel) for the fiducial runs with kturb = 2 at the same time as in Fig. 3, for D0 = 1022 (purple), 1024 (blue), 1026 (red), and 1028 cm2 s−1 (black). Two models with D0 = 0 (dashed cyan) and without CRs (dashed grey) are also represented for comparison.
Current usage metrics show cumulative count of Article Views (full-text article views including HTML views, PDF and ePub downloads, according to the available data) and Abstracts Views on Vision4Press platform.
Data correspond to usage on the plateform after 2015. The current usage metrics is available 48-96 hours after online publication and is updated daily on week days.
Initial download of the metrics may take a while.