Free Access
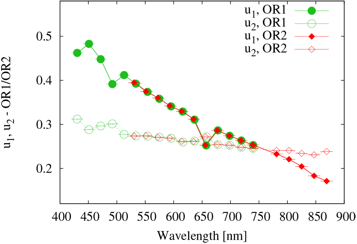
Fig. 4

Limb-darkening coefficients, u1 and u2, for OR1 in green circles and OR2 in red diamonds. The linear and quadratic coefficients are plotted in filled and empty points, respectively.
Current usage metrics show cumulative count of Article Views (full-text article views including HTML views, PDF and ePub downloads, according to the available data) and Abstracts Views on Vision4Press platform.
Data correspond to usage on the plateform after 2015. The current usage metrics is available 48-96 hours after online publication and is updated daily on week days.
Initial download of the metrics may take a while.