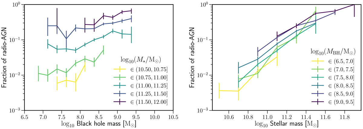
Fig. 7.

Left panel: fraction of galaxies that host a radio AGN with L150 MHz ≥ 1022.5 W Hz−1, as a function of the black hole mass, for multiple stellar mass bins (shown in different colours). Right panel: fraction of galaxies hosting radio-AGN with L150 MHz ≥ 1022.5 W Hz−1, as a function of the stellar mass, separated by their black hole mass (shown in different colours).
Current usage metrics show cumulative count of Article Views (full-text article views including HTML views, PDF and ePub downloads, according to the available data) and Abstracts Views on Vision4Press platform.
Data correspond to usage on the plateform after 2015. The current usage metrics is available 48-96 hours after online publication and is updated daily on week days.
Initial download of the metrics may take a while.