Free Access
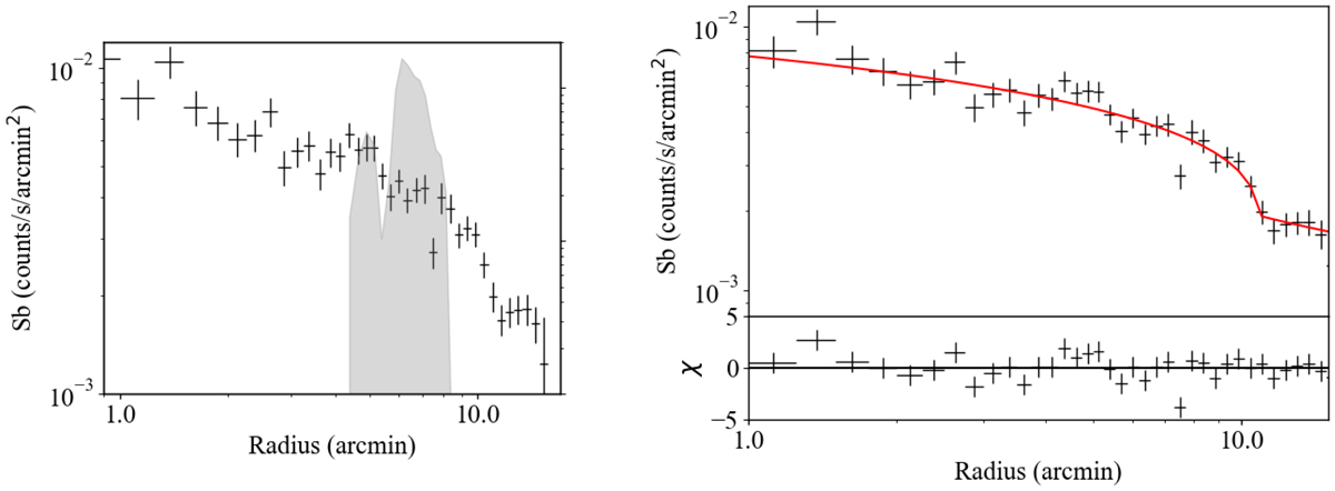
Fig. 7.

Left panel: XMM-Newton 0.3–2.0 keV band surface brightness profile. The grey shaded area represents the LOFAR radio brightness profile (in arbitrary units). Right panel: same as left but with the best-fitting broken power-law model.
Current usage metrics show cumulative count of Article Views (full-text article views including HTML views, PDF and ePub downloads, according to the available data) and Abstracts Views on Vision4Press platform.
Data correspond to usage on the plateform after 2015. The current usage metrics is available 48-96 hours after online publication and is updated daily on week days.
Initial download of the metrics may take a while.