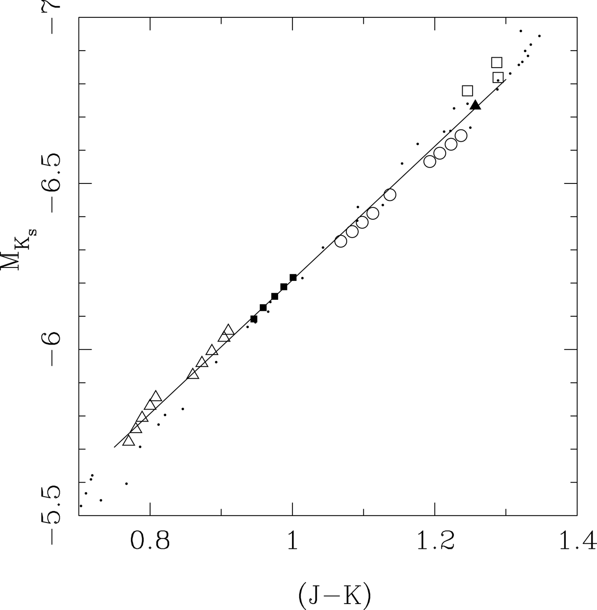
Fig. 3.

Calibration of the Ks-band absolute magnitude of the TRGB as a function of (J − Ks) colour, based on the data of Serenelli et al. (2017). The solid line indicates the fit to models in the colour range 0.75 < (J − Ks)< 1.3 mag and ages between 4 and 14 Gyr. Sets of different metallicities are indicated by open triangles ([Fe/H] = −1.49 dex), filled squares ([Fe/H] = −1.27 dex), open circles ([Fe/H] = −0.96 and −0.66 dex), filled triangle ([Fe/H] = −0.35 dex), and open squares ([Fe/H] = −0.25, −0.01 and +0.06 dex). Models outside these criteria are indicated by the small dots.
Current usage metrics show cumulative count of Article Views (full-text article views including HTML views, PDF and ePub downloads, according to the available data) and Abstracts Views on Vision4Press platform.
Data correspond to usage on the plateform after 2015. The current usage metrics is available 48-96 hours after online publication and is updated daily on week days.
Initial download of the metrics may take a while.