Free Access
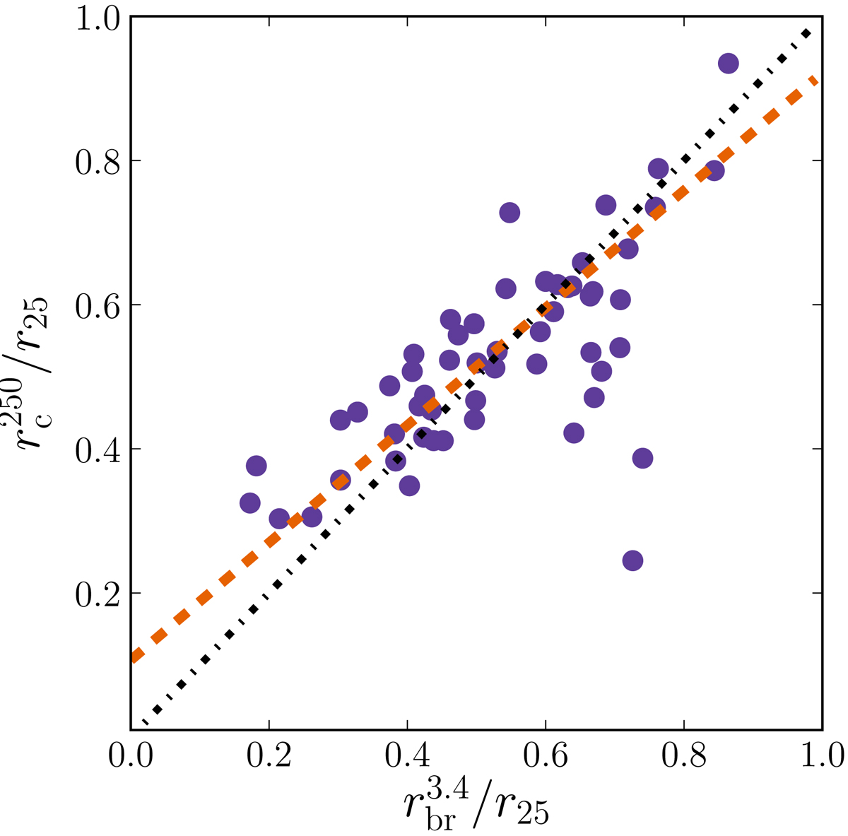
Fig. 13.

Comparison between the break radius measured in the WISE W1 band and the characteristic radius in the SPIRE 250 μm band. The black dotdash line shows the one-to-one relation, whereas the orange line represents the regression line with k = 0.82, b = 0.11, and ρ = 0.83.
Current usage metrics show cumulative count of Article Views (full-text article views including HTML views, PDF and ePub downloads, according to the available data) and Abstracts Views on Vision4Press platform.
Data correspond to usage on the plateform after 2015. The current usage metrics is available 48-96 hours after online publication and is updated daily on week days.
Initial download of the metrics may take a while.