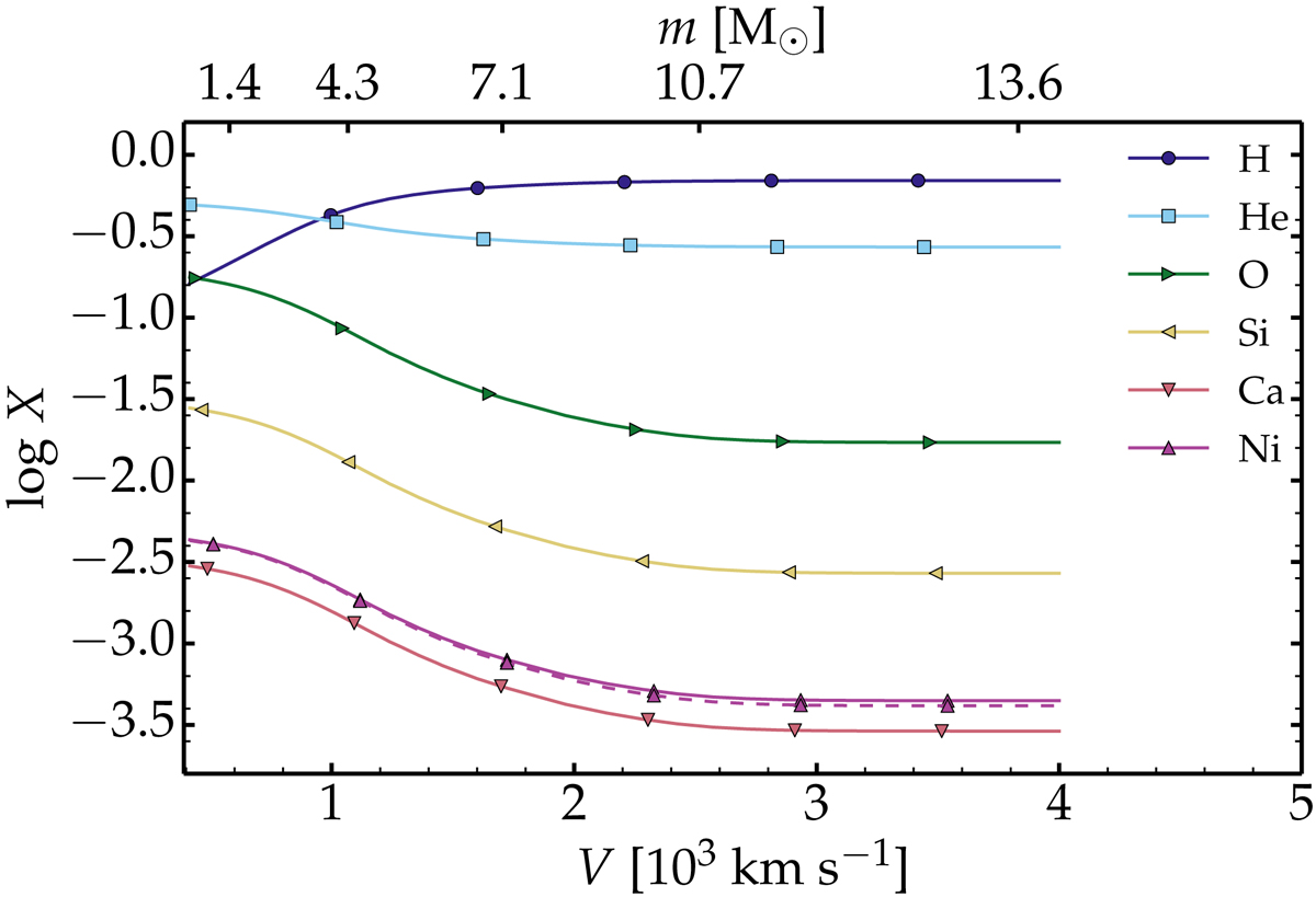
Fig. 2.

Composition profiles for the inner ejecta of model a2 used in the initial CMFGEN model at 1.1 d (the dashed curve corresponds to 56Ni). The outer ejecta has the same composition as the one at 4000 km s−1. The total ejecta mass for model a2 is 14.30 M⊙. Other models have similar profiles because they all stem from the same progenitor. Differences arise from differences in explosion energy, 56Ni yield, and mixing. Hence, other models show composition profiles that are shifted horizontally (i.e., in velocity space) or vertically (i.e., in yield, which is most relevant for 56Ni, or for H and He in model a4he; see Sect. 3.2 for discussion).
Current usage metrics show cumulative count of Article Views (full-text article views including HTML views, PDF and ePub downloads, according to the available data) and Abstracts Views on Vision4Press platform.
Data correspond to usage on the plateform after 2015. The current usage metrics is available 48-96 hours after online publication and is updated daily on week days.
Initial download of the metrics may take a while.