Free Access
Fig. 4.

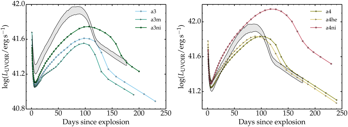
Left panel: same as Fig. 3, but now for the simulations a3, a3m, and a3ni (which differ in chemical mixing magnitude and in 56Ni mass). Right panel: same as left, but now for the simulations a4, a4he, and a4ni (which differ in H/He ratio in the progenitor H-rich envelope and in 56Ni mass).
Current usage metrics show cumulative count of Article Views (full-text article views including HTML views, PDF and ePub downloads, according to the available data) and Abstracts Views on Vision4Press platform.
Data correspond to usage on the plateform after 2015. The current usage metrics is available 48-96 hours after online publication and is updated daily on week days.
Initial download of the metrics may take a while.