Fig. 2.

image

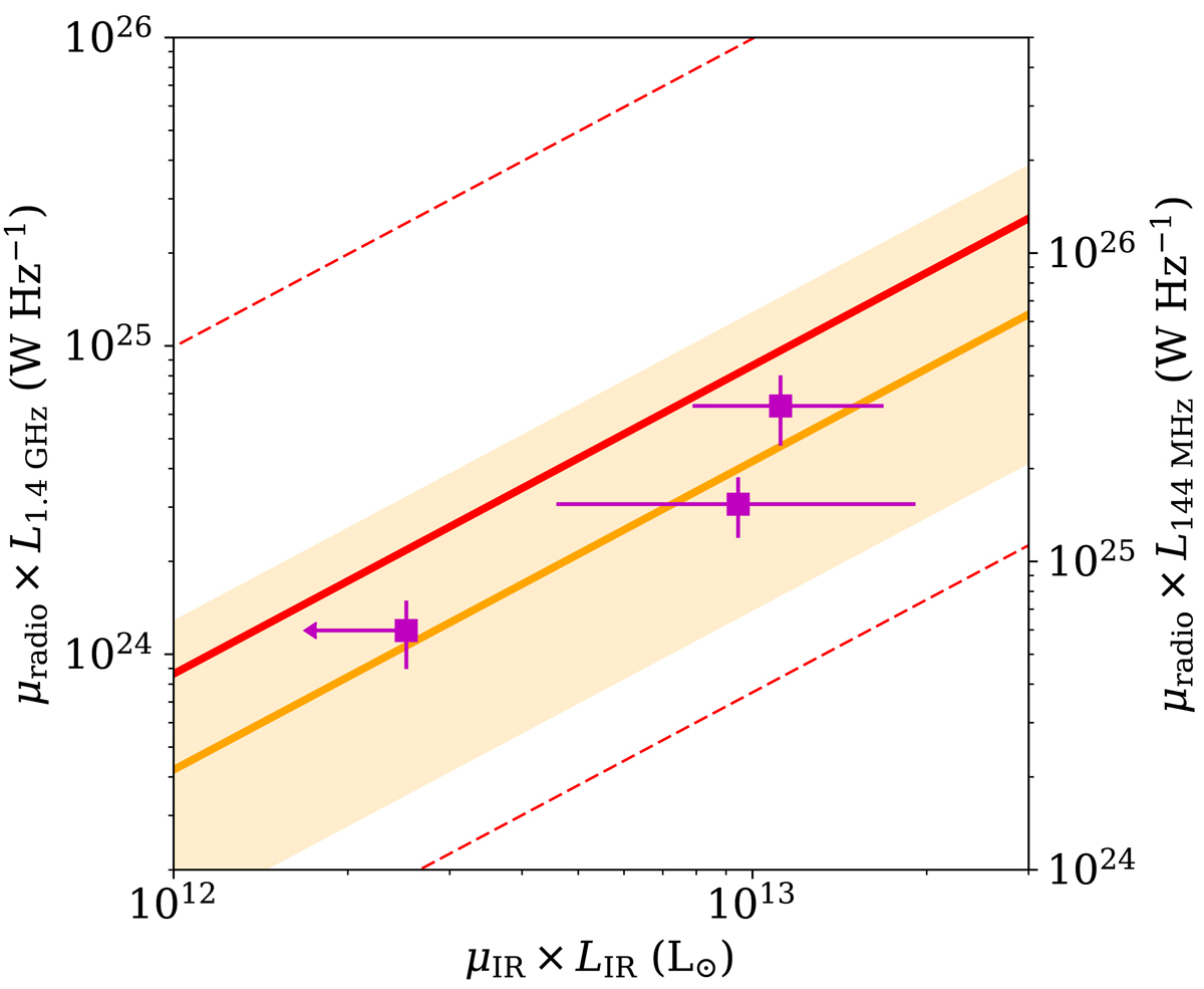
Rest-frame infrared and 1.4 GHz luminosities of the three lensed quasars detected with LOFAR, uncorrected for the lensing magnification. The corresponding rest-frame 144 MHz luminosities are shown on the opposing axis, scaled by spectral index . The median qIR for star-forming galaxies from Ivison et al. (2010) is shown in yellow; the shaded region is 2 × σqIR, where σqIR is the intrinsic scatter. The solid red line shows the radio–infrared correlation at 150 MHz from Calistro Rivera et al. (2017) at z ∼ 1.5 scaled to 1.4 GHz; the dashed line shows 2 × σqIR.

Current usage metrics show cumulative count of Article Views (full-text article views including HTML views, PDF and ePub downloads, according to the available data) and Abstracts Views on Vision4Press platform.

Data correspond to usage on the plateform after 2015. The current usage metrics is available 48-96 hours after online publication and is updated daily on week days.

Initial download of the metrics may take a while.