Free Access

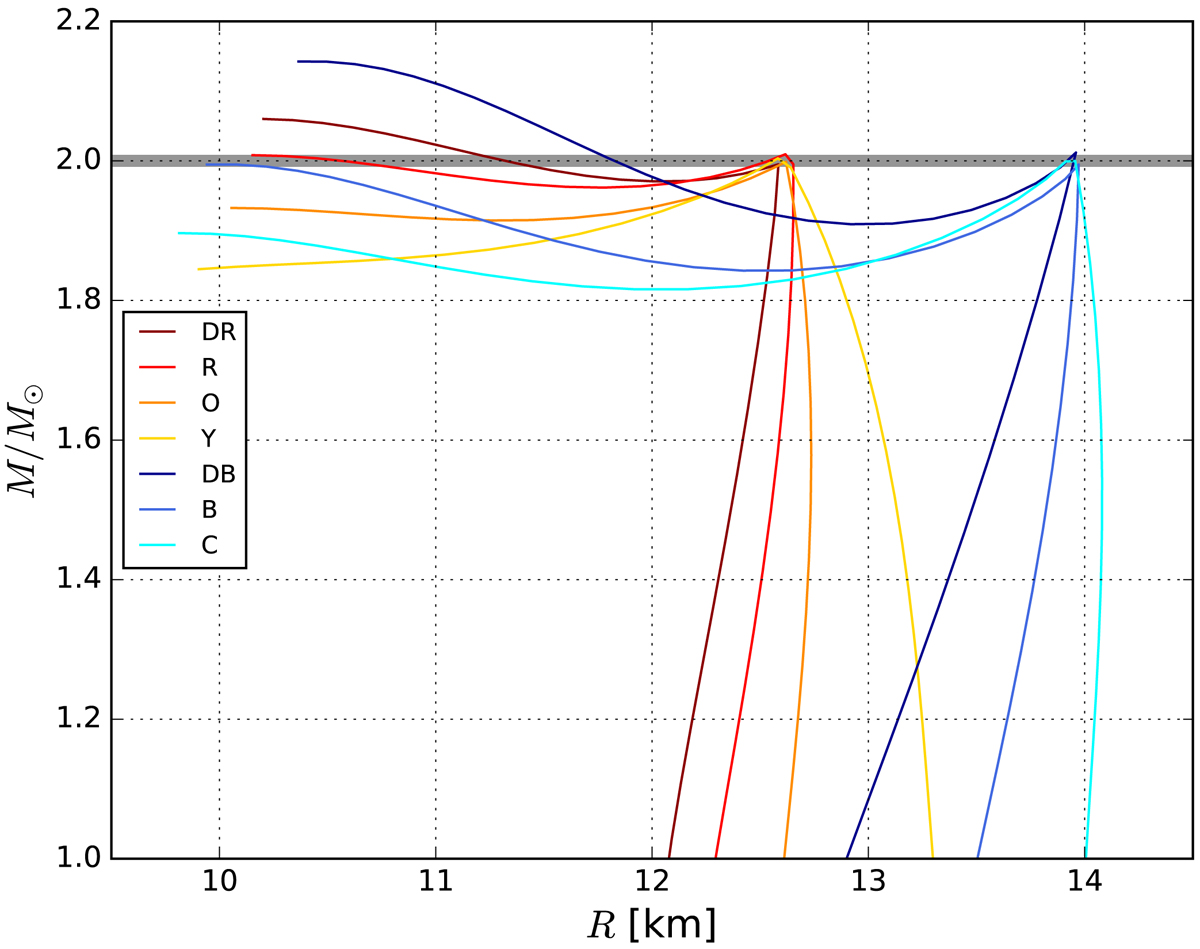
Fig. 13.

image

Example of the relation between the various EOS parameters and properties of the twin branch. The state of matter at the phase transition point (here quantified by the dM/dR slope on the M(R) plane) is related to the parameters of the interior EOS. For the DB and DR EOS Mmax >  Mph; for the R and B EOS Mmax = Mph; for the O and C EOS Mmax <  Mph; for the Y EOS there are no stable twin solutions.

Current usage metrics show cumulative count of Article Views (full-text article views including HTML views, PDF and ePub downloads, according to the available data) and Abstracts Views on Vision4Press platform.

Data correspond to usage on the plateform after 2015. The current usage metrics is available 48-96 hours after online publication and is updated daily on week days.

Initial download of the metrics may take a while.