Free Access

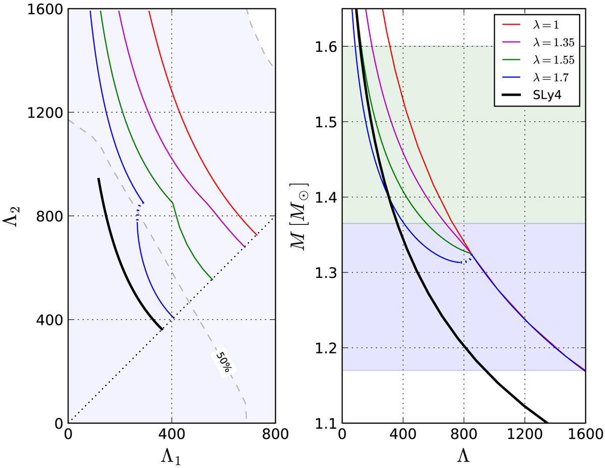
Fig. 8.

image

Λ21) (left panel) and M(Λ) (right panel) relations for the M(R) sequences from Fig. 7. The values of the Λ parameter are based on the measurements of the chirp mass and the low-spin prior estimates of the component masses in the binary NS merger GW170817 (Abbott et al. 2017). Shaded areas in the left panel denote the estimated 50% and 90% confidence regions corresponding to the measurement (Abbott et al. 2017).

Current usage metrics show cumulative count of Article Views (full-text article views including HTML views, PDF and ePub downloads, according to the available data) and Abstracts Views on Vision4Press platform.

Data correspond to usage on the plateform after 2015. The current usage metrics is available 48-96 hours after online publication and is updated daily on week days.

Initial download of the metrics may take a while.