Free Access
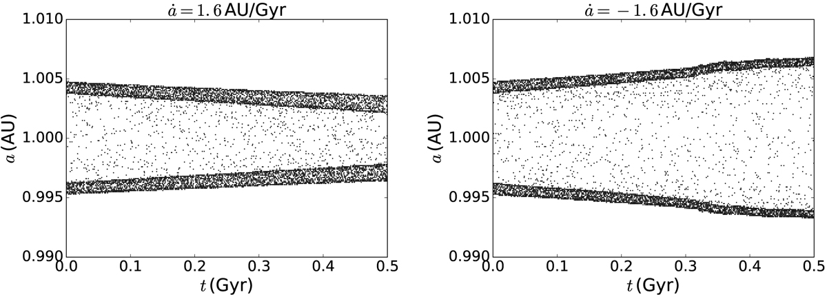
Fig. 15.

Time evolution of the semi-major axis for one selected orbit whose lifespan is longer than 1 Gyr. The left panel is for a drift rate of 1.6 AU/Gyr corresponding to prograde rotation while the right panel for an opposite drift due to retrograde rotation.
Current usage metrics show cumulative count of Article Views (full-text article views including HTML views, PDF and ePub downloads, according to the available data) and Abstracts Views on Vision4Press platform.
Data correspond to usage on the plateform after 2015. The current usage metrics is available 48-96 hours after online publication and is updated daily on week days.
Initial download of the metrics may take a while.