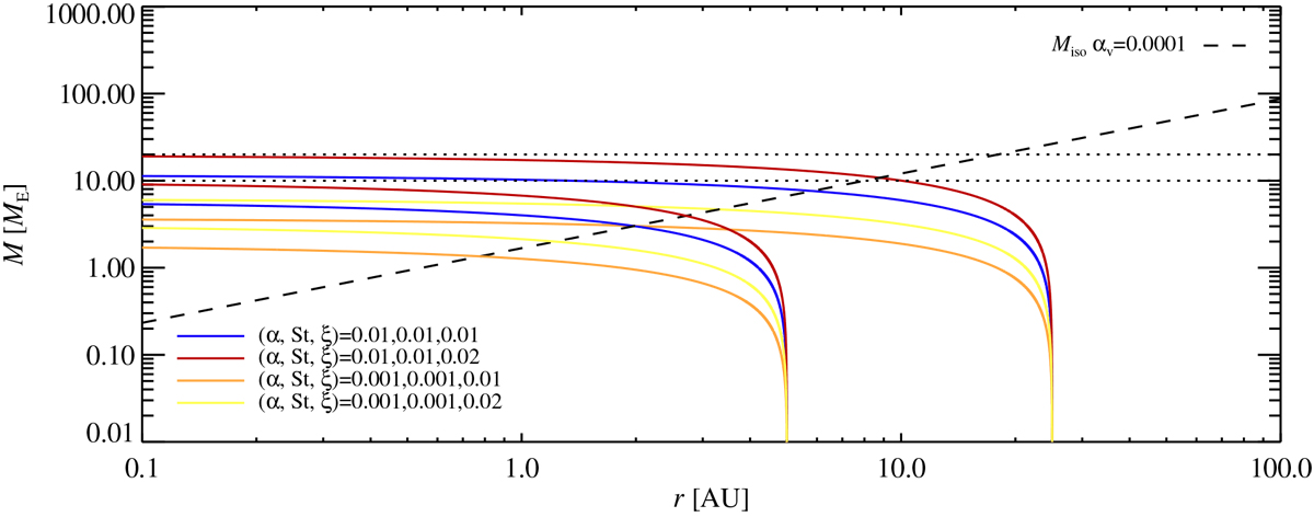
Fig. 1

Analytical growth tracks of planetary cores for four combinations of the accretion viscosity α, the pebble Stokes number St (set to be equal to α), and the ratioof radial pebble-to-gas flux rates ξ. Protoplanets are started at either 5 or 25 AU and with a starting mass of 0.01 ME. The pebble isolation mass is indicated for two values of the turbulent viscosity αv, assumed here to be 0.1 times the accretion viscosity α. The proportionality between the migration rate and the mass results in all growth tracks turning nearly horizontal before reaching their maximal mass at r = 0.
Current usage metrics show cumulative count of Article Views (full-text article views including HTML views, PDF and ePub downloads, according to the available data) and Abstracts Views on Vision4Press platform.
Data correspond to usage on the plateform after 2015. The current usage metrics is available 48-96 hours after online publication and is updated daily on week days.
Initial download of the metrics may take a while.