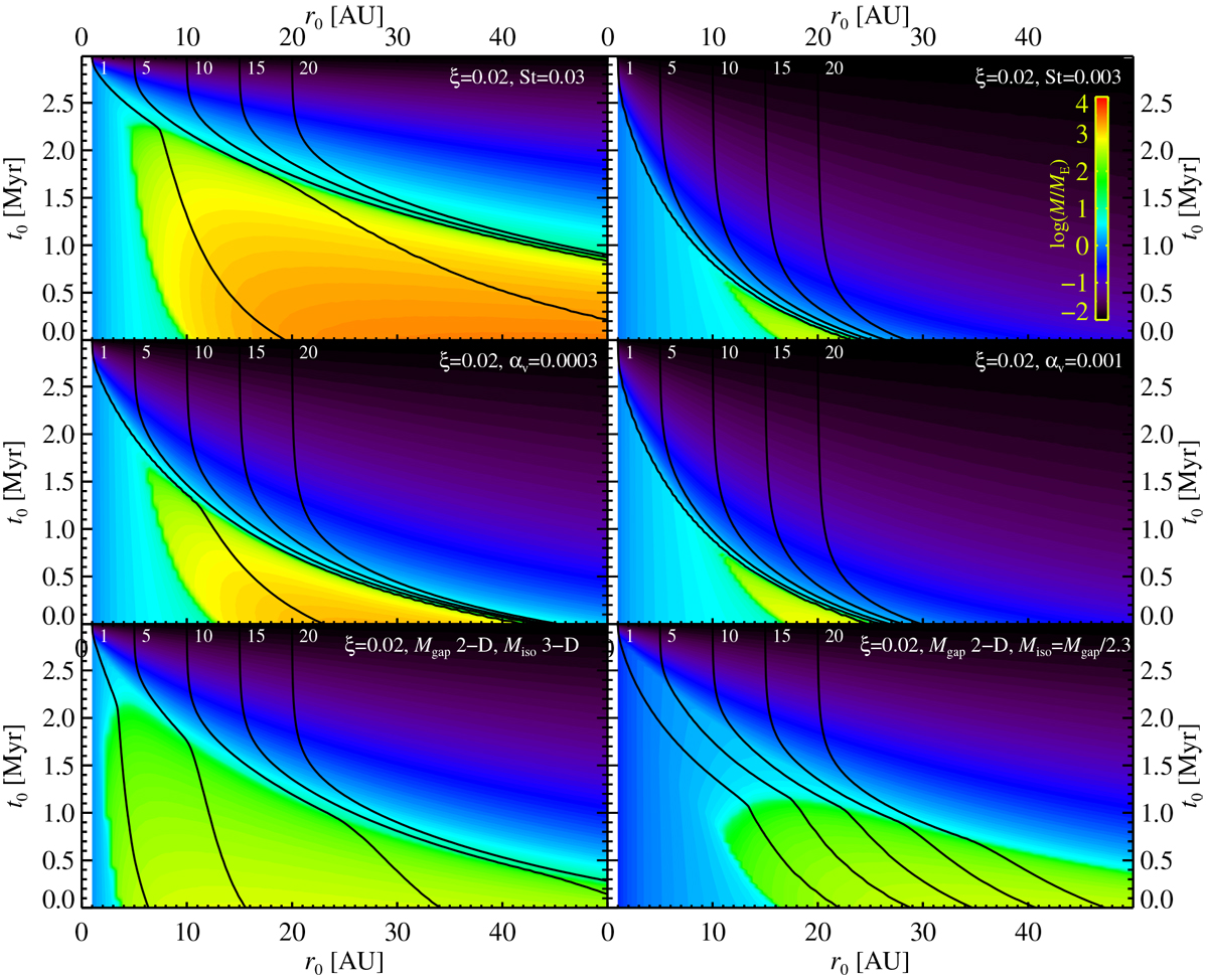
Fig. 10

Growth maps for six variations of our nominal model. Top panels: higher and lower Stokes number, St = 0.03 and St = 0.003. The Stokes number is an important factor in the pebble-accretion rate, particularly in the initial stage of 3D pebble accretion. Middle panels: higher turbulent viscosity (and turbulent diffusion), αv = 0.0003 and αv = 0.001. Planet formation is pushed to earlier times as the turbulent viscosity is increased. Bottom panels: variations of the gap formation prescriptions, either using the 50% gap mass from the 2D simulations of Kanagawa et al. (2018) and the pebble isolation mass from the 3D simulations of Bitsch et al. (2018b; bottom left panel) or using the 50% gap mass from the 2Dsimulations of Kanagawa et al. (2018) and a pebble isolation mass that is less than that value by a factor of 2.3. Both result in decreased migration and decreased gas accretion.
Current usage metrics show cumulative count of Article Views (full-text article views including HTML views, PDF and ePub downloads, according to the available data) and Abstracts Views on Vision4Press platform.
Data correspond to usage on the plateform after 2015. The current usage metrics is available 48-96 hours after online publication and is updated daily on week days.
Initial download of the metrics may take a while.