Fig. A.1

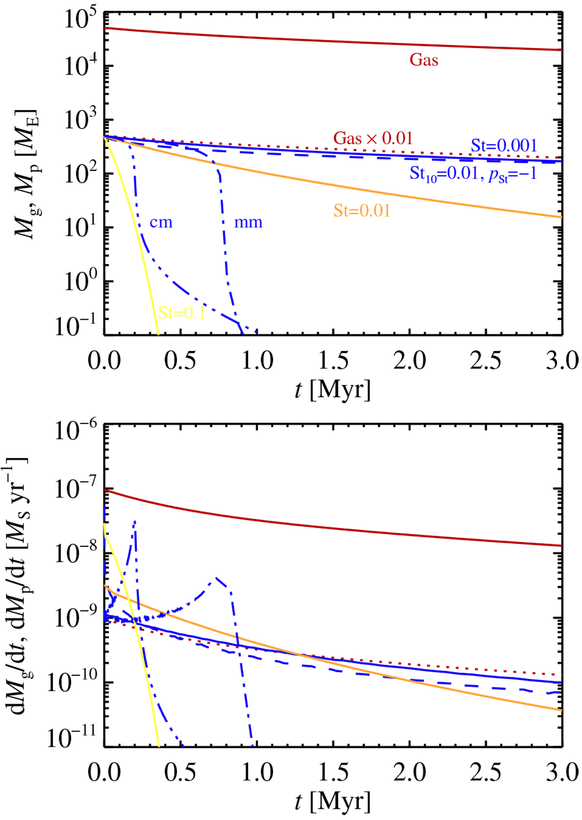
Gasand pebble masses as a function of time (top panel) and the mass accretion rates of gas and pebbles (bottom panel). The different pebble models are explained in the main text. Protoplanetary discs with large pebbles – of mm or cm sizes or with constant Stokes number of 0.1 – drain their pebbles out of the disc in much less than 1 Myr. The mass-accretion rates of such large pebbles is very high during this period. The models with a lower Stokes number are better able to maintain their pebbles for the entire life-time of the protoplanetary disc.
Current usage metrics show cumulative count of Article Views (full-text article views including HTML views, PDF and ePub downloads, according to the available data) and Abstracts Views on Vision4Press platform.
Data correspond to usage on the plateform after 2015. The current usage metrics is available 48-96 hours after online publication and is updated daily on week days.
Initial download of the metrics may take a while.