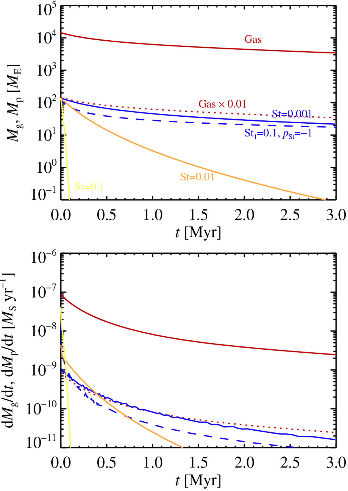
Fig. A.2

Gas and pebble masses (top panel) and accretion rates (bottom panel) for a disc of small initial size R1 = 24.3 AU and initial mass M = 0.039 M⊙. Pebbles of St = 0.01 are drained from the disc within 1 Myr due to the small initial disc size. However, smaller pebbles and pebbles with a radially declining Stokes number follow the temporal decay profile of the gas and are hence depleted on the same timescale as the gas.
Current usage metrics show cumulative count of Article Views (full-text article views including HTML views, PDF and ePub downloads, according to the available data) and Abstracts Views on Vision4Press platform.
Data correspond to usage on the plateform after 2015. The current usage metrics is available 48-96 hours after online publication and is updated daily on week days.
Initial download of the metrics may take a while.