Fig. 2

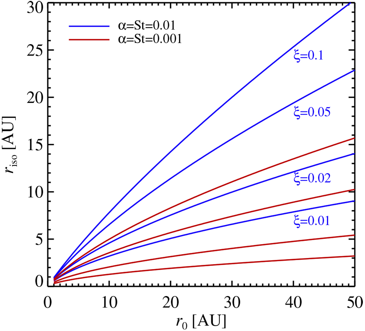
Radial location of reaching the pebble isolation mass, riso, as a functionof the starting position in the disc, r0, for different values of the pebble-to-gas flux ratio ξ. For low values of ξ, reaching the pebble isolation mass in the 5–10 AU region requires migration over tens of AU. Nearly in situ assembly of a planetary core is possible when the pebble-to-gas flux ratio ξ ≳ 0.05 − 0.1.
Current usage metrics show cumulative count of Article Views (full-text article views including HTML views, PDF and ePub downloads, according to the available data) and Abstracts Views on Vision4Press platform.
Data correspond to usage on the plateform after 2015. The current usage metrics is available 48-96 hours after online publication and is updated daily on week days.
Initial download of the metrics may take a while.