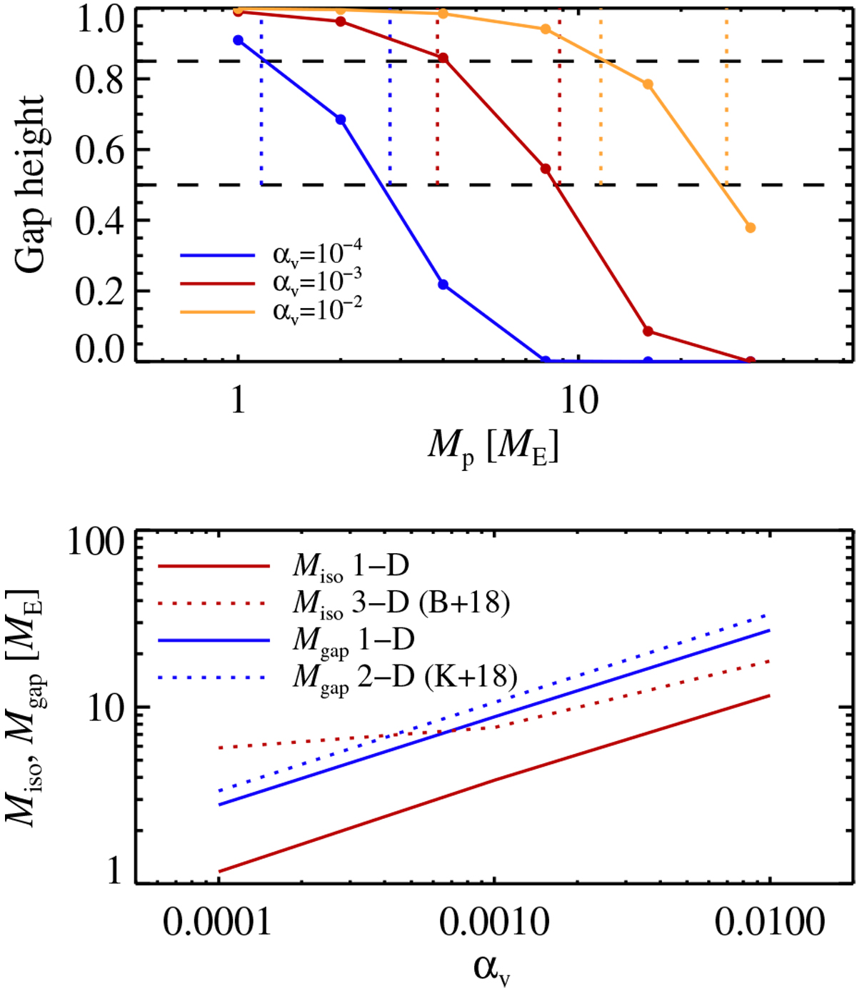
Fig. 3

Results of 1D simulations of an accretion disc with an embedded planet whose torque on the gas is based on the parametrisations of D’Angelo & Lubow (2010). Top panel: equilibrium relative gap height as a function of the planetary mass for three values of the viscous αv. The dashed lines mark the 50% relative gap height and the 85% relative gap height, the latter approximately corresponding to the pebble isolation mass. The dotted lines show the measuredpebble isolation mass and 50% gap mass. Bottom panel: pebble isolation mass (Miso) and the gap transition mass (Mgap) as a functionof αv. We find generally that Mgap ≈ 2.3Miso. The measured gap transition mass corresponds well to the 2D simulations of Kanagawa et al. (2018), while the measured pebble isolation mass is about a factor two lower than reported in Bitsch et al. (2018b) and displays a more consistent drop with lower αv.
Current usage metrics show cumulative count of Article Views (full-text article views including HTML views, PDF and ePub downloads, according to the available data) and Abstracts Views on Vision4Press platform.
Data correspond to usage on the plateform after 2015. The current usage metrics is available 48-96 hours after online publication and is updated daily on week days.
Initial download of the metrics may take a while.