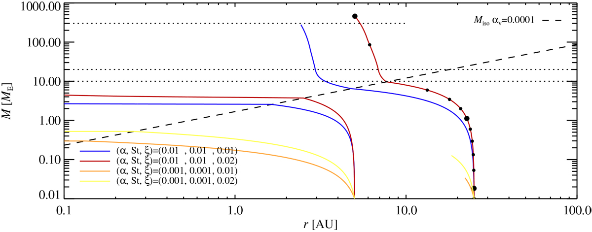
Fig. 4

Numerically integrated growth tracks for core accretion to the pebble isolation mass followed by gas accretion. We start the protoplanets at a mass of M0 = 0.01 ME at t0 = 0.9 Myr (except for the α = St = 0.01 growth trackstarting from 25 AU, which we start at t0 = 0.3 Myr) in a protoplanetary disc that evolves over a total time of 3 Myr. The dots indicate the time for the growth track that successfully forms a Jupiter analogue (small dots are separated by 0.2 Myr, large dots indicate a time of 3, 2 and 1 Myr). Weuse a migration model where the migration rate is reduced by multiplication with the relative gap height, following Kanagawa et al. (2018). The migration rate is therefore inversely proportional to the planet mass beyond the pebble isolation mass. This results in gas accretion over a few astronomical units of migration.
Current usage metrics show cumulative count of Article Views (full-text article views including HTML views, PDF and ePub downloads, according to the available data) and Abstracts Views on Vision4Press platform.
Data correspond to usage on the plateform after 2015. The current usage metrics is available 48-96 hours after online publication and is updated daily on week days.
Initial download of the metrics may take a while.