Free Access
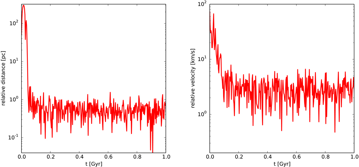
Fig. 1.

First gigayear of evolution of the relative distance (left panel) and velocity (right panel) between the two C2 clusters that merge and form CM2. After two bounces, the clusters merge very quickly and become a single GC in less than 0.5 Gyr.
Current usage metrics show cumulative count of Article Views (full-text article views including HTML views, PDF and ePub downloads, according to the available data) and Abstracts Views on Vision4Press platform.
Data correspond to usage on the plateform after 2015. The current usage metrics is available 48-96 hours after online publication and is updated daily on week days.
Initial download of the metrics may take a while.